【導讀】通過結合改進的電源電路拓撲和概念與改進的低損耗功率器件,開關電源行業在提高功率密度、效率和可靠性方面,正在經歷革新性發展。MOSFET是中低電壓電源應用的首選功率器件,可以提高溝槽密度,并無需JFET阻抗元件,因此能夠使特征導通阻抗降低30%左右,降低同步整流的能量損耗,極大的提高了電源能效。
從拓撲的角度來看,同步整流器的傳導損耗和開關損耗都更低,能夠提高這些轉換級的效率,因而是開關模式電源次級端的基本構建模塊,在服務器電源或電信整流器等低壓及大電流應用中非常流行。如圖1所示,它取代了肖特基整流器,可使電壓降變得更小。從器件角度來看,過去十年中,功率MOSFET晶體管的進展巨大,催生出了新穎的拓撲和高功率密度電源。20世紀早期平面技術問世之后,中低電壓MOSFET迅速被開發出來,利用溝槽柵技術來大幅提高性能。溝槽柵MOSFET是中低電壓電源應用的首選功率器件,其把一個柵極結構嵌入在精心蝕刻在器件結構上的溝槽區域中。這種新技術可以提高溝槽密度,并無需JFET阻抗元件,因此能夠使特征導通阻抗降低30%左右。當MOSFET的導通阻抗與漏極電流的乘積小于二極管正向電壓降時,同步整流的能量損耗降低。
不過,在同步整流方面,低導通阻抗并非電源開關的唯一要求。為了降低驅動損耗,這些器件的柵極電荷也應該很小。軟體二極管的反向恢復特性有助于削弱電壓尖刺的峰值,從而降低緩沖電路損耗。另外,還有輸出電荷QOSS和反向恢復電荷Qrr造成的開關損耗。因此,中低壓MOSFET的關鍵參數,如RDS(ON)、QG、QOSS、Qrr和反向恢復特性,直接影響到同步整流系統的效率。

圖1:二極管整流和同步整流
針對同步整流進行優化的功率MOSFET
在開關模式電源中,RDS(ON)×QG FOM(品質因數)一般被視為衡量MOSFET性能的唯一最重要的指標。因此,已經開發出數項提高RDS(ON)×QG FOM的新技術。雖然這些年來MOSFET技術和單元結構經歷了巨大的革新,但MOSFET垂直單元結構大致仍可分為三類:平面型,溝槽型和橫向型。在這三類結構中,溝槽柵MOSFET已成為BVDSS<200V的高性能分立式功率MOSFET的主流。這主要是因為這種器件不僅特征導通阻抗特別低,而且能夠在BVDSS范圍內獲得出色的RDS(ON)×QG 品質因數(FOM)。
溝槽柵結構可以大幅減小溝槽阻抗(Rchannel)和JFET阻抗(R JFET),而對低壓MOSFET(BVDSS<200V)來說,JFET阻抗正是造成導通阻抗的主要原因。溝槽結構能夠提供最短的漏-源電流路徑(垂直),以此降低RDS(ON),利用這種醒目的優勢,無需任何JFET夾斷效應即可提高單元密度。每個區域的相關阻抗所占的百分比差異很大,取決于具體的設計與BVDSS。盡管降低傳導損耗必需要降低RDS(ON),但必須考慮到更高的FOM,對現有最優化結構的溝槽深度和寬度進行權衡折衷。標準溝槽單元常常有一些變體設計,旨在保持低阻抗,同時提高FOM。圖2所示的傳統溝槽柵結構通過增加溝槽的寬/長比來獲得更低的導通阻抗。為了提高開關性能,增大CGS /CGD比,隨之業界又開發出了在溝槽底部生長一層厚氧化層的技術,如圖3所示。
這種方案不僅有助于減小柵-漏疊加電容CGD,還能改善漂移區阻抗。此外,它也有利于降低導通阻抗與柵極電荷,因為現在可以一方面通過薄柵極氧化層來獲得更低的Vth與導通阻抗,同時又還可以在溝槽底部采用加厚氧化層以獲得最低的CGD。還有一種技術就是采用電荷平衡或超級結器件結構。它最初是針對高壓器件開發的,現在也可用于低壓器件。利用電荷平衡方案,可以在漂移區獲得兩維電荷耦合,因而能夠在漂移區采用更高的摻雜濃度,最終降低漂移阻抗。相比前代技術,這種新型中壓功率MOSFET不僅在特征阻抗方面有大幅度改進,同時其原本相當出色的開關特性也得到進一步提高。
除了RDS(ON)和QG之外,同步整流結構中的其它參數,如體二極管反向恢復、內部柵極阻抗以及MOSFET的輸出電荷(QOSS),現在也變得更具相關性。在開關頻率和輸出電流較高時,這些損耗元件的重要性便更為明顯。飛兆半導體的中壓MOSFET產品現在開始針對二極管反向恢復以及輸出電容的最小化進行優化。

圖2:傳統溝槽柵MOSFET

圖3:底部有厚氧化層的溝槽MOSFET

圖4:增加了屏蔽電極的溝槽MOSFET
相關閱讀:
第二講:基于IGBT的高能效電源設計
http://m.sz-bosch.com/gptech-art/80020858
第一講:基于SiC雙極結型晶體管的高能效設計
http://m.sz-bosch.com/gptech-art/80020845
[page]
同步整流的功耗
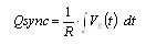
電源開關的主要功耗是傳導損耗和開關損耗。此外還有輸出電容引起的電容性損耗、漏電流造成的關斷狀態損耗、反向恢復損耗和驅動損耗。在高壓大功率應用中,這些損耗常常被忽略;而對于數瓦的應用,眾所周知電容性損耗可能高達總功耗的50%以上。必須注意的一點是,漏電流超標的不合格器件可能導致熱耗散故障,尤其是在環境溫度高的情況下,然而這是很常見的事。在低壓應用中,驅動損耗可占總功耗的很大部分,因為相比高壓開關,低壓開關的傳導損耗非常小。在輕負載條件下,傳導損耗極小,驅動損耗更為重要。隨著電腦節能拯救氣候行動等新的效率規范的推出,驅動損耗成為輕載效率的關鍵因素。驅動損耗可通過下式求得:
開關頻率和柵極驅動電壓屬于設計參數,而柵極電荷值則由數據手冊提供。同步整流與二極管整流器的一個不同之處是,MOSFET是一種雙向器件。圖5顯示了一般情況下,在傳導期間從源極到漏極流經MOSFET溝槽的電流,以及在死區時間內流經體二極管的電流。由于同步整流中,體二極管的導通先于柵極導通,故 同步開關可以采用零電壓開關技術。由于同步整流中,軟開關在開關導通和關斷瞬間工作,dVds/vt為零。因此,CGD(因dVds/dt)的電容性電流也為零。

圖5:同步整流中功率MOSFET的波形
鑒于這種順序,應該謹慎選擇式1中的柵極電荷值。由于導通瞬間同步開關上無電壓,這時不會發生“米勒效應”。因此,得到的柵極電荷值近似等于總柵極電荷QG減去柵極電荷的柵漏極部分QGD。不過,這仍然是對驅動損耗的樂觀估計,實際中,同步開關的柵極電荷值并不等于簡單的QG-QGD估算值,這是因為在同步整流中,漏極和源極之間存在一個負偏壓,而數據手冊中的QG和QGD是利用正偏壓測得的。而且,Vth以下的QSYNC曲線類似于Vth以上的斜線,因為同步整流中,零電壓開關期間這兩個區域的漏源電壓都為零。同步整流的柵極電荷QSYNC可利用圖6所示的簡單電路,并在Q1和Q2上加載適當的驅動信號來測得。

圖6:QSYNC 的測量
利用已知的電阻值,可通過下式求得QSYNC,這樣就可以更準確地估算出柵極驅動功耗。同步整流中,QSYNC較小,器件的性能也較好。如圖7所示,同步整流的功率MOSFFET的柵-源電壓上無平坦區。

圖7:QSYNC的定義
在同步整流中,要降低QSYNC,CGS(Ciss-Crss)是更加關鍵的因數。如圖8所示,由于設計優化,相比4.5毫歐的其他產品,3.6毫歐MOSFET的CGS大幅度減小。如表1所示,相比4.5毫歐和3.0毫歐器件,3.6毫歐MOSFET的QSYNC分別降低了22%和59%。圖9對柵極驅動電壓為10V,開關頻率為100kHz的27V同步整流級的驅動損耗和傳導損耗之比進行了計算和比較。這里有兩個同步開關,在10%的負載條件下,3.0毫歐產品的驅動損耗是傳導損耗的兩倍。

圖8:100V柵-源電容/3.6毫歐MOSFET與其他產品的比較

圖9:DUT的關鍵規格比較

圖10:不同輸出負載條件下,損耗比的比較
數據手冊上規定的二極管反向恢復時間(Trr)和反向恢復電荷(Qrr)一般用于正向開關損耗的計算。在利用數據手冊上的Qrr值來計算損耗時,需注意一點:晶體二極管的反向恢復電流是許多參數的函數,比如正向電流IF、反向恢復diF/dt、DC總線電壓和結溫Tj,其中任何一個參數的增加都會導致Qrr的提高。數據手冊上的條件通常比典型的轉換器工作條件低。由于開關轉換器需盡可能快地對功率MOSFET進行轉換,邊緣速率,如diF/dt,可能比數據手冊上的條件快10倍之多,從而使同步整流的Qrr大大增加。
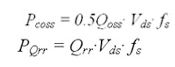
輸出電荷Qoss和反向恢復電荷Qrr在關斷開關的同時也造成損耗。因此,Coss 和Qrr產生的功耗可通過下式求得:

第二講:基于IGBT的高能效電源設計
http://m.sz-bosch.com/gptech-art/80020858
第一講:基于SiC雙極結型晶體管的高能效設計
http://m.sz-bosch.com/gptech-art/80020845
[page]
開關上的電壓尖刺
把有害電壓尖刺降至最小的一般原則是采用短而厚的電路板以及最小的電流回路。然而,由于尺寸和成本的限制,做到這些并不容易。有時,設計人員必需考慮到機械結構的問題,如散熱器和風扇;有時鑒于成本限制因素,不得不使用單面印制電路板。緩沖電路可作為一種可行的替代方案,用來在最大額定漏源電壓范圍內管理電壓尖刺。這種情況下,額外的功耗是無法避免的。此外,輕載下緩沖電路本身產生的功耗也不可忽視。除了電路板參數之外,器件的特性也對電壓尖刺電平有影響。在同步整流中,一個主要的器件相關參數是反向恢復期間的體二極管軟度因子。基本上,二極管的反向恢復特性是由設計決定的。有好幾個控制輸入對反向恢復產生影響,如結溫、di/dt和正向電流水平。但是,當條件固定時,二極管總是表現出相同的行為。因此,器件的評估結果對評測系統的運作情況非常有用。圖11所示為兩個不同器件(但有極其相似的額定值)的反向恢復波形。

圖11:不同軟度因子的反向恢復波形
在反向恢復電流波形中,從零到峰值反向電流的這段時間被稱為ta。tb則定義為從峰值回到零的時間。軟度因子定義為tb/ta。一個軟器件的軟度因子大于1,而當其軟度因子小于1時,該器件被認為是“snappy(活躍的)”。從圖11可看出,反向恢復期間snappy二極管的峰值電壓較大。當所有條件都相同時,snappy二極管的電壓尖刺總是比較高,因此會在緩沖電路中造成額外的損耗。輕載條件下,這一點可能比把導通阻抗RDS(on)減小1毫歐還要來得重要。圖12所示為諧振頻率為400kHz的500W PSFB DC-DC轉換器中軟器件與snappy器件的工作波形。軟器件的峰值電壓比snappy器件的小10%,從而可使緩沖電路的功耗降低30%,系統效率提高0.5%。盡管軟器件的RDS(on)比snappy器件的要高25%,但在20%負載條件下,二者的效率分別為94.81%與94.29%。滿載下兩個器件的效率相同。

圖12:500W PSFB DC-DC轉換器中功率MOSFET的峰值漏-源電壓,軟器件(左),snappy器件(右)
軟體二極管的另一個優點是它能夠使用額定擊穿電壓較低的器件。由于單位面積的導通阻抗與擊穿電壓成比例,故它還能降低傳導損耗。

圖13:800W同步整流電路的損耗分析
為同步整流創建更高效的電源開關,低RDS(on)不是唯一的要求。隨著輕載效率的重要性增強,柵極驅動損耗和緩沖電路損耗變為十分重要的損耗因素。因此,低QSYNC和軟二極管成為獲得更高同步整流效率的至關重要的特性。不過,RDS(ON)仍然是應用的關鍵參數。圖13所示為帶同步整流的800WPSFB中,在不同負載和不同器件條件下,不同元件的相關功耗。由于在10%負載條件下的驅動損耗和輸出電容性損耗更低,3.6毫歐MOSFET的總功耗比3.0毫歐其他產品減小43%。此外,3.6毫歐MOSFET的功耗主要源于滿負載條件下的傳導損耗,因此其功耗比4.7毫歐其他產品的更低。從圖13總結的損耗分析可明顯看出,3.6毫歐MOSFET由于進行了設計優化,故可以大幅降低滿載和輕載條件下的功耗,提高電源功耗。
相關閱讀:
第二講:基于IGBT的高能效電源設計
http://m.sz-bosch.com/gptech-art/80020858
第一講:基于SiC雙極結型晶體管的高能效設計
http://m.sz-bosch.com/gptech-art/80020845





