- 交流電機的選擇
- 無需軟件的最新無傳感器永磁同步電機控制
- 洗衣機電機的控制選擇
- 專用的無傳感器控制芯片以及配套的運動控制引擎
用于風機、水泵、空調、冰箱、洗衣機、電梯和傳輸等應用領域的電動機消耗著全球半數以上的電能,其中大多采用僅能簡單開啟和關斷電機的高能耗機電驅動裝置。僅在家電應用中以變頻解決方案替代這些低效率電機就可以削減多達60%的能源消耗。大部分家電采用通用直流電機或單相交流感應電機,其速度控制方法相當粗略,要么采用開斷控制,要么依靠可控硅控制導通相角,其典型系統效率最高也就能達到50%左右。不過,隨著高效功率器件和先進數字控制器的問世,將更具效率的電機和控制技術應用于最新家電已經成為可能。
交流電機的選擇
任何交流電機的軸端輸出力矩都取決于定子和轉子磁場間的耦合角。定子繞組電流的磁化力與轉子產生的氣隙磁通相互作用產生力矩,該力矩趨于將轉子磁通與定子磁場對齊,當定子磁化電流矢量與轉子磁通矢量相位錯開90° 時,該力矩達到最大值。在直流電機中,永磁體固定不動,由換相器和電刷的切換作用確保電樞磁場與定子磁極正確對齊。在交流電機中,氣隙磁場旋轉,不過,只要定子和轉子磁場的旋轉頻率保持同步仍舊可以產生恒定力矩。
交流電機具有兩種主要類型:同步電機和感應式電機(也通常稱作異步電機)。在同步交流電機中,轉子磁場由轉子繞組中的直流電流或者由永磁體產生,為產生恒定力矩,定子電流必須與轉子角度和旋轉頻率保持同步。在感應式電機中,轉子磁場由定子通過變壓器效應在轉子中產生的感應電流形成,因此,定子和轉子磁場的頻率可自行同步。感應式電機靜止時,與轉子線圈耦合的磁通與定子磁場同頻,因而轉子電流也與定子電流同頻;感應式電機轉動時,轉子磁通的耦合頻率是定子頻率與轉子旋轉頻率的差值,即所謂的滑差頻率,如果電機以定子頻率旋轉,則轉子磁通恒定,無法感生轉子電流,因而力矩輸出為零。感應式電機總是以略低于定子頻率的某種轉速運行,如果負載增加,則轉速下降,滑差頻率升高,從而感生出更大的轉子電流以產生更高的力矩。
感應式電機廣泛應用于工業和家用電器等領域,尤其是在需要固定速度的場合。感應式電機的重要優勢在于可直接接入交流電網并啟動運行。反之,同步電機在接入交流電網之前,其開環輸出電壓的幅值和頻率必須與電網充分匹配。大型同步電機正普遍應用于發電領域,而且同一公共電網中會接入多臺發電機。
在變頻應用中,為驅動系統選擇電機是非顯性的。感應式電機的逆變驅動廣泛采用開環電壓/頻率的速度控制方案。如果采用速度傳感器,也有可能實現感應式電機的閉環控制,即通過改變電機的滑差頻率以控制電機產生的力矩。然而,由于轉子電流無法測量以及轉子電路時間常數很大,因而很難實現感應式電機的高動態控制。 與之相反,只要知道轉子的角位置,就能夠十分方便地實現同步電機的高動態力矩控制。
永磁同步電機(Permanent magnet synchronous machines ,簡稱PMSM)在工業伺服領域已經使用了很多年。由于采用永磁轉子,因而這種電機十分高效,與相同尺寸的感應式電機相比,能夠提供高得多的連續力矩。然而,需要以霍耳效應傳感器或者旋轉變壓器等位置傳感器檢測其軸角位置,這種對轉子角位置傳感器的需求曾使其應用僅僅局限于高端工業驅動領域,但是近些年發展起來的“無傳感器”控制算法已使其在家電領域的應用不斷增加。
壓縮機速度控制是永磁同步電機進入家電領域的最初應用之一。用于空調和冰箱的傳統壓縮機采用依靠電網頻率運行于固定速度的感應式電機,壓縮機尺寸必須滿足開機后的最大負載狀況,但是在正常運行中,要維持設定溫度,壓縮機就得以相當低的占空比循環斷續工作。然而,采用壓縮機速度控制后,就可以為正常運行選取最有效的工作速度。僅采用速度控制這一項就可以使功效提高30%以上,另外,由于永磁電機具備更高的效率,因而還能額外提高15%功效。如今,在關注能源成本的區域市場,如日本等,幾乎90%的空調和超過50%的家用冰箱都已采用壓縮機速度控制。

最初的無傳感器控制器采用六拍換相相序驅動電機繞組,并通過監測開路繞組的反電勢估計轉子位置。該方法可以提供高魯棒性的速度控制,但是無法提供平滑的電機力矩。其首要原因是:采用六拍換相相序時,要產生恒定力矩,電機就必須具備梯形反電勢波形,而不是通常的正弦波形;其次,更大的問題在于換相過程中電流切換至后續繞組時所引入的力矩波動。由于電機反電勢會加速退出相的電流衰減,并妨礙進入相的電流上升,因而運行速度越高,問題也變得越糟。電機力矩波動的高階諧波成分容易引起系統的機械共振,會在風機、洗衣機、水泵和空調中產生音頻噪聲。然而,這種控制器十分簡單,便于實現,所以仍舊在不需要平滑力矩控制的場合中有所采用。
由于采用基于DSP和RISC的低成本控制器能夠實現更為復雜的控制算法,因而另一種可選的無傳感器控制方案近年來變得流行起來。“最新無傳感器”控制允許以正弦電壓和電流波形驅動永磁同步電機,并以電機電流的測量值為基礎估計轉子位置,該算法可以有效地提供恒定力矩,且沒有前面提到的六拍控制器所帶有的音頻噪聲問題。另外,該算法可以由新型控制器硬件結構實現,并且無需任何軟件編碼就能有效地實現復雜控制。專用集成設計平臺的核心是最新的無傳感器控制器,以圍繞控制和功率電子元件的附加集成功能等難題為重點,伴隨兼容芯片設計,可以完成該平臺設計方法,其重點包括可以為數字控制芯片和功率級之間提供必要連接的三相逆變器驅動芯片和高壓電流傳感芯片。
[page]無需軟件的最新無傳感器永磁同步電機控制
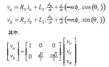
最新無傳感器算法基于如圖1所示的永磁同步電機的簡化模型,電機繞組反電勢波形為轉子角度的正弦函數,因而能夠用于測量轉子角度。通過測量外加定子電壓時流入定子線圈的電流可以計算反電勢。為簡化數學運算,可以利用 Clarke變換將三相電路變換為兩相等效模型,這樣就可以用轉子角度的正弦和余弦函數表示反電勢,其等效電路可以由以下方程描述:

為提取轉子角度,可以對反電勢項進行積分以計算轉子磁通,該磁通與速度無關。最后,由于正弦和余弦磁通項的比例與磁通的幅值無關,因而可用來精確估計轉子的角度和速度。
角度估計是實現控制算法的關鍵環節,不過,要實現圖2中以結構圖描述的控制系統仍需要許多其它功能。該控制器由一個速度外環和一個定子電流內環構成,可以分別產生參考力矩或者控制施加于繞組的電壓。定子電流控制環由旋轉參考坐標系中的磁場定向控制(Field Oriented Control,簡稱 FOC)技術實現,矢量以轉子角度為函數旋轉,將定子電流變換為兩個準直流分量ID和IQ。IQ電流分量與轉子磁通正交并產生力矩,其參考值來自速度環輸出。ID電流與轉子磁通對齊,可以增強或削弱轉子磁通。在多數速度范圍內ID給定值為零,不過,如果需要擴展到恒功率速度范圍,則可以通過ID設定實現弱磁控制,這對于洗衣機等需要很高旋轉速度的應用非常有用。
無傳感器磁場定向控制算法能夠以全新的控制器體系結構實現。圖2中所示控制系統的每個功能都可以用硬件宏模塊實現,而不是軟件。諸如比例積分控制、矢量旋轉和Clarke變換等功能可共用于所有交流電機控制系統。如圖3所示,運動控制引擎(Motion Control Engine)庫中包含交流電機控制模塊和其它通用模塊。獲取電機控制芯片,就能夠取得MCE庫,以及模擬輸入和空間矢量PWM控制等功能。開發人員可以使用圖形工具將元件從MCE庫拖入自己的控制系統設計,然后利用圖形編譯器將控制設計翻譯為MCE序列指令,以正確順序連接硬件宏模塊從而實現自己的控制系統。該方法可以不必在開發過程中進行軟件編碼,既能節省時間,又能減少錯誤。
洗衣機電機的控制選擇
精確控制滾筒轉速對于控制滾筒式洗衣機和波輪式洗衣機的洗滌動作都十分重要。滾筒式洗衣機已經在歐洲使用了很多年,而且目前在北美也變得越來越流行起來。波輪式洗衣機要求衣物完全浸沒于水中,而滾筒式洗衣機的摔打作用只需要在滾筒底部裝水,這樣可以顯著降低用水量,并從根本上節約加熱洗滌用水所需的能源。
在滾筒式洗衣機中,決定洗滌動作的關鍵因素是滾筒轉速。滾筒的臨界轉速取決于滾筒半徑,高于該轉速時,衣物會貼在滾筒壁上;處于該轉速時,旋轉產生的離心力恰好與衣物的重力平衡;低于該轉速時,衣物將貼在滾筒壁上,直到沿半徑方向的重力分量超過離心力,一旦升至該角度,衣物就會墜落到滾筒底部。由于滾筒轉速可決定衣物的洗滌力度,因而可以為精細織物選擇輕柔的洗滌循環方式。在傳統的波輪式洗衣機中,由使用齒輪箱和離合器的機械結構產生攪動作用,因而,引入轉速控制系統不僅能夠簡化機械系統,而且能夠控制洗滌循環。控制洗滌動作的轉速和角度可以使系統設計人員更好地處理洗滌作用,從而開發出更節水的洗滌循環方式。
前面描述的許多電機轉速控制選項都可以應用于洗衣機。歐洲的滾筒式洗衣機不使用交流電機,而是使用一種通用的“有刷”電機,而美國的洗衣機使用較大的滾筒尺寸,因而其電機的功率范圍需超出通用電機方案。

雖然目前仍在使用三相感應式電機,但是近年來永磁同步電機正逐步成為首選解決方案。感應式電機的磁場來自電流,且必須由定子勵磁電流分量產生,為產生力矩,電流需同時流經定子和轉子繞組,其總銅損為永磁電機的兩倍以上。 由于永磁同步電機比感應式電機更高效,因而與相同功率等級的感應式電機相比,鋼鐵和銅的使用量更少。在過去幾年中,全球銅價和鋼鐵價格幾乎翻了一倍,與此同時,磁性材料的成本卻在下降。如此看來,永磁不僅意味著高效,而且目前也意味著不再昂貴。許多家電制造商正在將永磁同步電機解決方案用于波輪式和滾筒式洗衣機,其中部分廠商正在開始采用基于運動控制引擎(MCE)的控制芯片開發其控制器。
結束語
目前可以利用一種集成設計平臺,簡化先進的節能家電電機驅動應用的設計過程并降低成本。設計平臺的核心是專用的無傳感器控制芯片以及配套的運動控制引擎(MCE),該引擎包括實現閉環無傳感器正弦控制必需的所有控制元素,且不同于其它種類的DSP或MCU,無需乏味易錯的軟件編程環節。




