【導讀】電壓模式放大器有一個明顯的缺點就是隨著被處理信號的頻率越來越高,電壓模式電路的固有缺點開始阻礙它在高頻高速環境中的應用。主要由于閉環增益和閉環帶寬的乘積是常數,當帶寬向高頻區擴展時增益按比例下降,而且在大信號下它的輸出電壓轉換速率也很低。為克服這些缺點,本文設計了低壓狀態下的運算放大器">電流反饋運算放大器。
運算放大器">電流反饋運算放大器(CFOA)被廣泛應用在模擬信號處理中,比如模數轉換(ADC),濾波器以及許多其他通信系統中。運算放大器">電流反饋運算放大器相對于電壓反饋運算放大器的一個顯著的優點就是有較快的轉換速率和與增益設置無關的帶寬, 80年代末期,基于互補雙極工藝發展起來的電流負反饋運算放大器,從根本上改變了傳統電壓反饋運算放大器的電路結構,得到了極大的發展 ;但電源電壓一般都是5V,功耗也比較大,筆者設計了基于雙電源±0.9V供電,功耗僅為3.5mW的運算放大器">電流反饋運算放大器。
電路描述
CFOA簡化拓撲結構可用圖1表示,它主要由輸入緩沖級、跨組放大級和輸出緩沖級組成。輸出緩沖級接在兩個輸入端之間,具有單位電壓增益。其作用有三個:強制un 跟隨up;使同相輸入端為高阻抗(理想為無窮大)的電壓輸入端;使反相輸入端為低阻抗(理想為零)的電流輸入端,信號電流在反相輸入端流進或流出。
跨組放大級將反相輸入端的電流信號in 傳送到內部增益節點,并將它轉化為一個電壓信號uz 。圖1中的Aro代表開環增益,Aro的值通常很大(類似電壓運算放大器的開環增益),跨組放大級的輸出電壓表達式為uz=Aroin式中,Aro為開環跨阻增益值,量綱為V/A或, in為反相輸入端電流。輸出緩沖級具有單位電壓增益,將uz傳送到輸出端uo,并實現低輸出阻抗。

圖1 運算放大器">電流反饋運算放大器的簡化拓撲結構圖
之所以用CCII+作為電壓緩沖器,是因為CCII+具有如下的功能特點:

圖 2 第二代電流傳輸器
該方程表明,CCII+的Y端口電流為零,X端口的電壓跟隨Y端口的電壓,因而X端口呈現零輸入阻抗;低阻抗X輸入端的電流傳輸到高阻抗的Z輸出端,即在Z輸出端口相當一個可控制輸出電壓。實際上CCII+可以看做一個電壓緩沖器,因此基于這一思想,在參考文獻[1]的基礎上,并參考圖1 CFOA的拓撲結構圖,用CCII+做輸入,中間級利用文獻[2]圖7.6-17,加以改進,構成低壓低功耗的兩級電壓運算放大器,外加輸出緩沖,就構造出一新型的CFOA電路(圖3,圖4)。

圖3 低壓低功耗CFA的電路模型圖
圖3為低壓低功耗運算放大器">電流反饋運算放大器電路模型圖。

圖4 低壓低功耗運算放大器">電流反饋運算放大器的電路原理圖

圖5 圖4的交流小信號分析模型
圖5為圖4的交流小信號分析模型圖5中rx(CCII+的 反相輸入端電阻)ro (輸出緩沖器的輸出電阻)均非常小,可忽略不計。則有:
假設核心模塊OPAMP為單極點且開環增益為 A(S)=(AOWt/S+Wt),注意Wt是OPAMP的-3DB帶寬。( 為了獲得合適的相位裕度.利用調零電阻RZ和米勒電容CC進行相位補償)AOWt是-3DB帶寬和開環低頻增益的乘積。帶入(1)式可得:
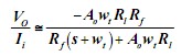
合理的選擇RL和 CZ 使二者產生的極點遠大于GBP。那么(2)式可簡化為:
又由于Ao=30.5K, A0RL≥Rf(3)式又可簡化為
又由于rX (反相端的輸入電阻)很小 ,因此 Ii =Vi/Ri(4)式又可簡化為:
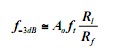
由(5)可得CFOA的-3DB帶寬為:
(6)(6)式表明CFOA的-3DB帶寬依賴于Rl和Rf。由(5)式可知CFOA的增益依賴于Rf 和Ri ,很明顯對于一定的Rl , Rf 一旦確定,改變Ri可獲得不同的增益,而-3DB帶寬卻不受影響。因此CFOA實現了增益和帶寬的獨立調節。為了避免運算放大器OPAMP的高頻極點和確保閉環增益的穩定性,CFOA的-3DB帶寬必須小于GBP,從(6)式知Rl必須滿足RlRf。
利用HSPICE仿真
開環狀態下交流小信號分析

圖6 開環放大電路增益和相位的仿真分析
CFOA的開環增益及相位圖如圖6,AV=-28.5K(89dB),GB=52.5MHz,相位裕度為82o,由此可見開環相位裕度大于45o是穩定的。
閉環狀態下交流小信號分析

圖7 閉環電路的增益和相位
閉環電路的增益和相位如圖7所示,-3dB帶寬約為23.3MHz而增益卻分別為12dB,6dB,2.5dB,0dB,相位裕度均大于45o,由此可見增益和相位均是穩定的。
由此可見CFOA實現了增益和帶寬的獨立調節。同樣也可以構成同相放大器(將Ri 接地.信號由Y端輸入)
轉換速率測定(將CFOA接成電壓跟隨器)結果如圖8所示。

圖8 電壓跟隨器瞬態分析(輸出端接20pF電容負載)可以計算出 SR=27.7V/μS
結語
本設計在有關資料的基礎上,提出了自己設計的低壓低功耗運算放大器">電流反饋運算放大器。在輸入級合理設置CCII+的W/L來提高其帶寬,避免了輸入級的迷勒補償。在輸出級使用了緩沖器,在開環時,將輸出電阻減小到幾歐姆左右,極大的提高了負載能力。-3DB帶寬為23.3MHz,靜態功耗降低為為3.5mW。當前,電流負反饋運算放大器主要是基于雙極工藝的,但是隨著電源電壓的降低及芯片集成度的增加,對CMOS型電路的研究是很有必要的。
【推薦閱讀】




