上期回顧:電容選型與應用知識系列大講臺—電容基礎知識大搜羅
中心議題:
- 電解電容的原理
- 電解電容的優、缺點
- 鋁電解電容器的壽命
- 鋁電解電容器的電路設計
一、電解電容的原理
電解電容是電容的一種,介質有電解液,涂層有極性,分正負,不可接錯。電容由兩個金屬極,中間夾有絕緣材料(介質)構成。電解電容器通常是由金屬箔(鋁/鉭)作為正電極,金屬箔的絕緣氧化層作為電介質,電解電容器以其正電極的不同分為鋁電解電容器和鉭電解電容器。鋁電解電容器的負電極由浸過電解質液(液態電解質)的薄紙/薄膜或電解質聚合物構成;鉭電解電容器的負電極通常采用二氧化錳。由于均以電解質作為負電極(注意和電介質區分),電解電容器因而得名。

延伸閱讀:電解電容解構
二、電解電容的特點
電解電容器特點一:單位體積的電容量非常大,比其它種類的電容大幾十到數百倍。
電解電容器特點二:額定的容量可以做到非常大,可以輕易做到幾萬μf甚至幾f(但不能和雙電層電容相比)。
電解電容器特點三:價格比其它種類具有壓倒性優勢,因為電解電容的組成材料都是普通的工業材料,比如鋁等等。制造電解電容的設備也都是普通的工業設備,可以大規模生產,成本相對比較低。
三、電解電容的缺點
內部損耗大:此主要是由于電解液所形成的電阻 加上相對于容量下鋁箔及接點本身的電阻所形成 此內電阻 在等價電路上為串聯電阻亦即影響逸散因子的因素。在大電流充放電時,可能會引致發熱等現象。
靜電容量誤差大:因為電解電容器的大部分電容量是依靠鋁箔表面凹凸不平的曲面及電解形成的氧化膜介質所形成,而此二者不管在進行處理或使用時,性質均不安定,使得許多電解質電容器的容量誤差為標示值的-20%到+80%。為此項缺陷在電源電路中并無所影響。
漏電流大:主要是因為介質特性的關系,此在使用于交連等需要隔絕直流之處宜特別注意。
長期儲存后,漏電流有增大及容量降低之傾向:此乃由于氧化鋁膜長期浸漬在電解液中,使鋁膜的介質特性劣化所致,但可于施加電壓若干時間后恢復之。
延伸閱讀:電解電容知識
四、鋁電解電容
鋁電解電容與其他的電容相比,具有體型小、容量大、對抗過高電壓和逆向電壓能力強的特征。在要求高性能和高信賴度的計算機、 導航儀技術以及影像設備、照相機閃光燈中得到廣泛應用。
1.電容量
電容器的電容量由測量交流容量時所呈現的阻抗決定。交流電容量隨頻率、電壓以及測量方法的變化而變化。JISC5102 規定:鋁電解電容的電容量的測定是在 120HZ 頻率,最大交流電壓為 0.5Vrms、DC bias電壓為 1.5~2.0V 的條件下進行。鋁電解電容器的容量隨頻率的增加而減小。以下是典型的電容量隨頻率變化圖:

和頻率一樣,測量時的溫度對電容器的容量有一定的影響。隨著測量溫度的下降,電容量會變小。以下是典型的電容量隨頻率變化圖:

另一方面,直流電容量,可通過施加直流電壓而測量其電荷得到,在常溫下容量比交流稍微的大一點,并且具有更優越的穩定特性。
[page]
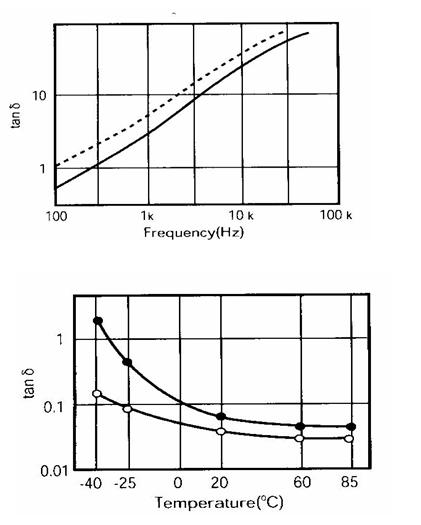
2.Tanδ(損耗角正切)
在等效電路中,串聯等效電阻 ESR 同容抗 1/ωC 之比稱之為 Tan δ,其測量條件與電容量相同。

Tanδ=RESR/ (1/ωC)=ωC RESR
其中:RESR =ESR(120 Hz),ω=2πf,f=120Hz
Tan δ隨著測量頻率的增加而變大,隨測量溫度的下降而增大。以下是典型的電容量隨頻率變化圖:

3.阻抗(Z)
在特定的頻率下,阻礙交流電通過的電阻就是所謂的阻抗(Z)。它與容量以及電感密切相關,并且與等效串聯電阻 ESR 也有關系。具體表達式如下:

以下是典型的電容量隨頻率變化圖:

由圖可知電容的容抗(Xc)在低頻率范圍內隨著頻率的增加逐步減小,頻率繼續增加達到中頻范圍電抗(XL)降致 ESR。當頻率達到高頻范圍感抗(XL)變為主導,所以電抗隨著頻率的增加而增加。由于電解液電導率隨溫度改變而改變,所以阻抗隨著溫度的變化而變化如下圖所示:

4.漏電流
電容器的介質對直流電具有很大的阻礙作用。然而,由于鋁氧化膜介質上浸有電解液,在施加電壓時,重新形成以及修復氧化膜的時候會產生一種很小的稱之為漏電流的電流,剛施加電壓時,漏電流較大,隨著時間的延長,漏電流會逐漸減小并最終保持穩定。

測試溫度和電壓對漏電流具有很大的影響。漏電流會隨著溫度和電壓的升高而增大(如下圖所示)。
[page]
5.鋁電解電容器的壽命
5.1.忽略紋波電流時的壽命推算
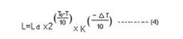
一般而言,鋁電解電容器的壽命與周圍的環境溫度有很大的關系,其壽命可以由以下公式計算。與溫度比較,降壓使用對電容器的壽命影響很小,可忽略不計。

其中,L:溫度 T 時的壽命,L0:溫度 T0 時的壽命
5.2.考慮紋波電流時壽命的推算
疊加紋波電流,由于內部等效串連電阻(ESR)引起發熱,從而影響電容器的使用壽命,產生的熱量可由下式計算

其中,I:紋波電流(Arms),R:等效串聯電阻(Ω)
由于發熱引起的溫升如下式所示:

其中,△T:電容器中心的溫升(℃),I::紋波電流 (Arms) ,R: ESR (Ω),A:電容器的表面積(cm2), H: 散熱系數( 1.5~2.0x10-3W/cm2℃)
上面公式(3)顯示電容器的溫度上升與紋波電流的平方以及等效串聯電阻 ESR 成正比,與電容器的表面積成反比,因此,紋波電流的大小決定著產生熱量的大小,且影響其使用壽命,電容器的類型以及使用條件影響著△T 值的大小,般情況下,△T<5℃。下圖表示紋波電流引起的溫升的測量處

測試結果:
(1).考慮到環境溫度和紋波電流時的壽命公式

其中,Ld:直流工作電壓下的使用壽命,(K=2,紋波電流允許的范圍內),(K=4,超過紋波電流范圍時),T0:最高使用溫度,T:工作溫度,△T:中心溫升
(2)電容器工作在額定的紋波電流和上限溫度時,電容器的壽命可通過轉化(4)式得到,如下:

其中,Lr:工作在額定紋波電流和最高工作溫度下的壽命(h),△T0:最高工作溫度下的電容器中心容許溫升。
(3)考慮紋波電流,環境溫度時可由(5)式得到下式:

其中,I0:最高工作溫度下的額定紋波電流(Arms),I:疊加的紋波電流(Arms)
由于直接測量電容器的內部溫升存在著困難,下表列出了表面溫度和內部核心溫度的換算關系。

壽命的推算公式,原則上適用于周圍環境溫度為+40℃到最高工作溫度范圍內,但由于封口材料的老化等因素,實際的推算壽命時間一般最大為 15 年。

表 5-1 壽命推算曲線
延伸閱讀:電解電容的使用壽命
淺談電解電容壽命——請注意測試條件!
[page]
6.冗余電壓
鋁電解電容器先充電,再放電,而后再將兩引線短接,再將其放置一段時間后,兩端子間存在電壓上升的現象;由這種現象所引起的電壓稱之為再生電壓。當電壓施加在介質之上時,在介質內部引起電子的轉移,從而在介質內部產生感應電場,其方向與電壓的方向相反,這種現象稱之為極化反應。在施加電壓引起介質極化后,如果兩端子進行放電一直到端子間的電壓為零,而后將其開路放置一段時間后,一種潛在的電勢將出現在兩端子上,這樣就引起了再生電壓。再生電壓在電容器開路放置 10~20 天時達到峰值,然后逐漸降低,再生電壓有隨元件變大而增大的趨勢(基板自立形)如果電容器在產生再生電壓后,兩端子短路,瞬間高電壓放電可能引起組裝線上的操作員工的恐懼感,并且,有可能導致一些低壓驅動元件(如CPU,存儲器等)被擊穿的危險,預防出現這種情況的措施是在使用前加 100Ω~1KΩ的電阻進行放電,或者在產品包裝中用鋁箔覆蓋引起兩端子間短路。
7.極性
鋁電解電容器一般是有極性的。極性接反是造成鋁電解電容器短路及漏液的原因,并可能導致危險的發生。因此在無法辨識的電氣回路上或使用于有極性變換設計的回路時,請選用雙極性電解電容器。
8.電解電容器的儲存
電解電容器應在溫度為 5~30℃,濕度為 75%以下的室內儲存。當電解電容器經過了長時間放置后,由
于原電池的作用使其漏電流有增加傾向。因此在使用經過長時間放置的電解電容器以前,需先施加額定電
壓直至其電氣特性恢復正常。
9.電路設計
在電路設計及生產過程中,應嚴格按照鋁電解電容器的額定性能范圍使用,盡量避免下述情況下使用
(1) 高溫(溫度超過最高使用溫度)
(2) 過流(電流超過最高紋波電流)
(3) 過壓(電壓超過最高額定工作電壓)
(4) 反向加壓或交流電壓
(5) 使用于多次急劇充放電的回路中
電容器外殼、輔助引出端子與正、負極以及電路板間必須完全隔離;當電容器套管的絕緣性能不能保證時,在有絕緣性能特定要求的地方不要使用;
電容選型與應用知識系列大講臺—電解電容應用選型篇(二)






