中心議題:
- 片式鐵氧體磁珠的工作原理
- 鐵氧體抑制元件的阻抗和插入損耗
- 鐵氧體磁珠的類別
- 鐵氧體磁珠的應用
1. 片式鐵氧體磁珠的基本原理
磁珠,實質上雖然是一個電感器,但在功能、作用與組成上也是有它的特點的。電感的基本功能是電路諧振和扼流電抗。主要應用于電源電路、時鐘發生電路、射頻(RF)和無線通訊、無線遙控系統等場合。磁珠的主要功能是消除存在于線路中的 RF 噪聲,扮演著高頻電阻(衰減器)的角色,它允許直流信號通過,卻能濾除 30MHZ以上的高頻信號,主要應用于模擬電路和數字電路之間的濾波,I/O(輸入/輸出)端口電路,射頻(RF)電路和易受干擾的邏輯設備之間,電源電路以及需要抑制 EMI 等場合。
磁珠的作用主要是在高頻率下利用電感成分反射噪聲,利用電阻成分把噪音轉換成熱量,由此起到抑制噪聲的作用。使用時,只要直接插入信號線、電源線中就以通過吸收、反射來實現抑制噪聲以達到抗 EMI 的目的。磁珠有很高的電阻率和磁導率,它等效于電阻和電感串聯,但電阻值和電感值都是頻率的函數。它比普通的電感有更好的高頻濾波特性,在高頻時呈現電阻性,所以能在相當寬的頻率范圍內保持較高的優良特性。而電感主要起著儲能、濾波、阻抗、扼流、諧振和變壓作用。
磁珠由氧磁體材料作成,電感則由磁心和線圈組成,磁珠把交流信號轉化為熱能,電感把電流存儲起來,緩慢的釋放出去。
1.1 鐵氧體磁珠的工作原理
鐵氧體磁珠是由一種立方晶格結構的亞鐵磁性材料作成的磁性元件。這種材料的分子結構為 MO·Fe2O3,其中 MO 為金屬氧化物,通常是 MnO 或 ZnO。它的制造工藝和機械性能與陶瓷相似,顏色為灰黑色,常用于電磁干擾濾波器中,這種材料的特點是高頻損耗非常大。
用于抗 EMI 的鐵氧體材料,磁導率(μ)和飽和磁感應強度(Bs)是兩個最重要的磁性參數,而磁導率(μ)的定義是磁通密度隨磁場強度的變化率,即 μ=△B/△H。
對于一種磁性材料來說,磁導率不是一個常數,它與磁場的大小、頻率的高低有關。當鐵氧體受到一個外加磁場(H)作用時,例如當電流流經繞在鐵氧體磁環上的線圈時,鐵氧體磁環被磁化。隨著磁場強度(H)的增加,磁通密度(B)增加。當磁場(H)增加到一定值時,B 值趨于平穩,即達到飽和狀態。對于軟磁材料,飽和磁場(H)只有十分之幾到幾個奧斯特。隨著飽和的接近,鐵氧體的磁導率迅速下降并接近于空氣的導磁率(相對磁導率為 1)如圖 1 所示。

圖1 鐵氧體的 B-H 曲線
鐵氧體的磁導率可以表示為復數。實數部分 μ′代表無功磁導率,它構成磁性材料的電感。虛數部分 μ" 代表損耗,如圖 2 所示。
μ=μ′- jμ"

圖 2 鐵氧體的復數磁導率[page]
圖 3 是磁導率的頻散特性曲線,它可分為Ⅰ-Ⅴ個區域來分析??梢?,在一定的頻率范圍內 μ'''' 值(在某一磁場下的磁導率)保持不變,然后隨頻率的升高磁導率 μ'''' 有一最大值。頻率再增加時,μ'''' 迅速下降。代表材料損耗的虛數磁導率 μ" 在低頻時數值較小,隨著頻率增加,材料的損耗(即μ")增加。

圖3 磁導率的頻散特性曲線
1.2 鐵氧體抑制元件的阻抗和插入損耗
實際上磁珠就是用鐵氧體材料作成的抑制元件,當它用于交流電路時就是一個有損耗的電感器,它的等效電路可視為由電感 L 和損耗電阻 R 組成的串聯電路,如圖4所示。

圖 4 鐵氧體抑制元件的等效電路 (a) 和阻抗矢量圖 (b)
鐵氧體元件的等效阻抗 Z 是頻率的函數
Z(f)=R(f)+jωL(f)=Kωμ"(f)+jKωμ''''(f)
式中:K是一個常數,與磁芯尺寸和匝數有關,ω為角頻率。
損耗電阻 R 和感抗 jωL 都是頻率的函數,圖5 表示的是以某種磁珠的阻抗、感抗和電阻與頻率的關系。在低頻端(<10MHZ)阻抗小于 10Ω,隨著頻率的增加,由于電阻分量增加,使阻抗增加,電阻逐漸成為主要部分。在頻率超過 100MHZ 時,磁珠的阻抗將大于 100Ω。這樣就構成一個低通濾波器,使高頻噪音信號有大的衰減,而對低頻有用信號的阻抗可以忽略,不影響電路的正常工作。這種濾波器優于普通純電抗濾波器。后者會產生諧振,造成新的干擾,而鐵氧體磁珠則沒有這種現象。

圖5 磁珠的阻抗、感抗和電阻與頻率的關系[page]
鐵氧體抑制元件應用時的等效電路如圖6 所示。圖中 ZS 和 ZL 分別為源阻抗和負載阻抗,Z 為鐵氧體抑制元件的阻抗。
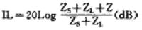
通常用插入損耗表示抑制元件對 EMI 信號的衰減能力。器件的插入損耗越大,表示器件對 EMI 噪音抑制能力越強。

圖6 鐵氧體抑制元件應用電路
插入損耗的定義為

式中:P1、V1 分別為抑制元件接入前,負載上的功率和電壓。P2、V2 分別為抑制元件接入后,負載上的功率和電壓。
插入損耗和抑制元件的阻抗有如下關系:
![]()
由上式可見,在源阻抗和負載阻抗一定時抑制元件的阻抗越大,抑制效果越好。由于抑制元件的阻抗是頻率的函數,所以插入損耗也是頻率的函數。抑制元件的阻抗包括感抗和電阻部分,兩部分對插入損耗都有貢獻。在低頻時,鐵氧體的μ"的值較小,損耗電阻較小,主要是感抗起作用。在高頻端,鐵氧體的μ''''值開始下降,而μ"值增大,所以損耗起主要作用。低頻時,EMI 信號被反射而受到抑制,在高頻端,EMI 信號被吸收并轉換成熱能。
2 片式磁珠的類別
片式磁珠由軟磁鐵氧體材料組成,具有獨石結構。目前磁珠有以下幾類:
普通型(通用型)
這是應用最廣泛的一類疊層型片式磁珠/電感器, 1608、2012是目前的主流規格,同時還有3216、3225等多個規格。
大電流型(耐大電流型)
普通型磁珠的額定電流只有幾百毫安,但在某些應用場合要求額定電流達到幾安培;例如:為了消除計算機卡板電源部分及大電流母線部分的噪聲,要求磁珠能承受幾安培的電流。為此,選擇適當的鐵氧體材料或者采用低燒結溫度電子陶瓷材料,并采取適當的工藝措施,制成了能夠承受大電流的疊層型片式磁珠,阻值比較低。
尖峰型
當電子線路中在某頻率點存在著強烈的干擾噪聲很難消除時,可以在此電子線路中加一個諧振頻率恰巧在干擾噪聲頻點的尖峰型磁珠,從而將這一強烈的干擾噪聲完全抑制;不同電子線路、不同用戶對諧振頻率的數值要求是不相同的。
高頻型
各種電子元器件的頻率都在提高,輻射的電子干擾的頻率往往超過 1GHz;如果使用普通型磁珠,那么,三次諧波信號成分將被大量衰減,致使時鐘脈沖信號鈍化,將會引起誤操作。所以要求將磁珠的抑制 EMI 的頻率范圍提高,如對 500MHz 以下的信號頻率成分幾乎無衰減通過,而對 1GHz 以上的干擾噪聲產生大量衰減。
陣列型
磁珠陣列(Chip Beads Array)又稱為磁珠排(圖7),即在一個 0805 或 1206 的片式元件內并列 2~4 個片式磁珠。這樣就大大縮小了在 PCB 上所占據的面積,有利于高密度組裝。

圖7 磁珠陣列[page]
3 鐵氧體磁珠的應用
鐵氧體磁珠(Ferrite Bead)是目前應用發展很快的一種抗干擾元件,廉價、易用,濾除高頻噪聲效果顯著。在應用上,片式鐵氧體磁珠大致可分為電源線路用和信號線路用兩大類產品。作為用在信號線路中所要求的性能,最重要的是所有信號波形應與抑制噪聲措施相互依存和適應。電源線路上使用的產品有低直流電阻和高耐能量型。片式磁珠的外形尺寸系列已符合片式阻容元件的標準,而且性能優良、品種規格齊全,為電路設計者提供了廣闊的空間。過去未采用電子產品(如彩電、錄像機、電話機等),現在也開始大量采用片式電感器和片式磁珠。現舉例如下:
3.1 開關電源尖峰抑制器
開關電源最大的缺點就是容易產生噪聲和干擾,這是長期困擾開關電源的一個關鍵技術問題。開關電源的噪聲主要是由開關功率管和開關整流二級管快速變化的高壓切換和脈沖短路電流所引起。因此必須采用有效元件把它們限制到最小程度。通常采用非線性飽和電感來抑制反向恢復電流尖峰。根據在開關電源續流二極管上的高磁導率與可飽和性的超小型電感元件—磁珠特性的一致性,開發出用來抑制開關電源開關時產生的峰值電流的尖峰抑制器。這種尖峰抑制器的性能特點是:
(1) 初始和最大電感值很高,飽和后殘余電感值非線性極不明顯。串聯接入回路后,電流升高瞬間顯示出高阻抗,可以作為所謂的瞬間阻抗元件使用。
(2) 適用于防止半導體回路中瞬態電流峰值信號、沖擊激勵電路和由此而伴生的噪聲,還可以防止半導體損壞。
(3) 剩余電感極小,電路穩定時損耗很小。
(4) 與鐵氧體制品的性能絕然不同。
(5) 只要避免磁飽和,可作為超小型、高電感的電感元件使用。
(6) 可以作為低損耗的高性能可飽和鐵芯用于控制和產生振蕩。
尖峰抑制器要求鐵芯材料具有較高的磁導率,以得到較大的電感量;高矩形比可使鐵芯飽和時,電感量應迅速下降到零;矯頑力小、高頻損耗低,否則鐵芯散熱不好而無法正常工作。所以尖峰抑制器的用途主要表現在減小電流尖峰信號;降低由于電流峰值信號引起的噪聲;防止開關晶體管的損壞;減低開關晶體管的開關損耗;補償二極管的恢復特性; 防止高頻脈沖電流的沖擊等。
3.2 在信號電路中的應用
圖8、圖9、圖10 分別示出了磁珠在直流供電回路、數字電話、抑制 EMI 噪聲濾波器中的應用實例。


[page]

可見磁珠在抗電磁干擾方面的作用十分重要,應用廣泛。
4 結束語
利用鐵氧體磁導率的頻散特性作成的片式磁珠,是一種既簡便又有效的抗電磁干擾的元件與方法,并且具有眾多的突出優點,所以在現代電子信息產品中獲得了廣泛應用。




