中心議題:
- 阻抗比為1:4的不平衡到不平衡寬帶阻抗變壓器設計
阻抗匹配器件常常用于高頻電路中,一般用來匹配元器件的阻抗和電路或系統的特性阻抗。在某些電路中,希望阻抗匹配能夠實現多個八度音階頻率覆蓋范圍,同時插損很低。為了幫助阻抗變壓器設計人員,本文對阻抗比為1:4的不平衡到不平衡(unun)寬帶阻抗變壓器的設計進行了探討。這種變壓器在無線通信系統(一般是混合電路、信號合分路器)中很有用,對放大器鏈路的級間耦合也很有益。
這種寬帶unun阻抗變壓器對測試電路、光接收器系統、帶寬帶阻抗匹配的微波電路,以及天線耦合也很有用。可用于高頻電路設計及仿真的現代計算程序在自己的工具箱里就收納了這種器件。寬帶unun阻抗變壓器包含了一個纏繞了雙絞傳輸線的環形鐵氧體磁芯,繞線間通過釉質膜隔離。結合常規傳輸線阻抗變壓器的設計元件,有可能建立起一個真正的寬帶組件。對1:4阻抗轉換比而言,這種設計方式可提供很高的效率。

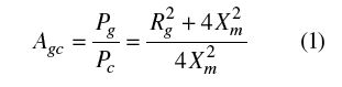
在常規阻抗變壓器中,初級線圈和次級線圈之間的能量轉移主要通過磁耦合發生,這也是變壓器提供良好低頻響應能力的原因。假設鐵氧體磁芯無損,負載和源阻抗是純電阻性的,而且只考慮其磁化電感的影響,由此獲得的變壓器低頻簡化模型可表示為圖2中的結構。在最大能量轉移條件下,該低頻模型的響應由器件的插損決定:

這里:Pg=源的最大可用功率、Pc=負載功率、Rg=源阻抗、Xm=磁抗。最后這個參數可通過下式由工作頻率f和磁芯的磁化電感Lm求得:
![]()
Lm的值取決于初級線圈的匝數和磁芯的電感因子Al。通常,這個因子是由鐵氧體磁芯制造商規定的,單位為納亨/平方匝數(nH/turns2)。因此,以nH為單位的磁化電感可表示為:
![]()
把該參數帶入對應的磁抗公式中,再將計算結果帶入插損公式中,即可求得變壓器的低端截止頻率。因此:

這個值隨初級線圈匝數增加而降低。給定截止頻率,通過上式也可計算出正確的初級線圈匝數。為了讓電感的單位為nH,這里使用了109因子。
[page]
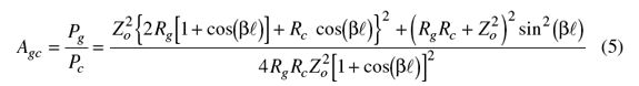
傳輸線變壓器初級線圈和次級線圈之間的電耦合增強了高頻能量的轉移。圖3所示為一個傳輸線1:4 unun變壓器的高頻模型,鑒于其長度很短,沒有考慮損耗。在這種理想模型中,源和負載阻抗都假設是純電阻性的。該高頻模型響應也由它的插損來確定。此外,源功率和二次負載功率間的比率為:

這里:Rg=源阻抗、Rc=負載阻抗、Zo=傳輸線特性阻抗、βl=相位因子、l=kλ=傳輸線長度(這里λ是波長,k是小數值)。

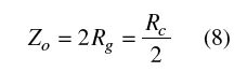
由公式5可看出,要獲得良好的寬帶高頻響應,Zo值的優化十分重要。對二分之一波長(λ/2)的傳輸線長度,能量轉移是無效的,并比四分之一波長(λ/4)長度的傳輸線的最大值小1dB。由此可看出,傳輸線的長度越短,其高頻響應的帶寬越大。對最大功率傳輸而言,最佳傳輸線特性阻抗和負載阻抗分別為:

![]()
源和負載阻抗之間必需有1:4的轉換以實現阻抗匹配。因此,傳輸線特性阻抗和源及負載阻抗之間的關系可表示為:

若在變壓器中使用絞合傳輸線,通過改變傳輸線單元長度的絞合次數,可以調節特性阻抗,使之最適合于所需要的通帶。單位長度絞合次數增加,特性阻抗將減小。
圖4中,對于優化和非優化的特性阻抗值,都把插損看作k的函數。相比采用了優化特性阻抗的情況,特性阻抗非優化時,插損增加,帶寬減小。于是,使用絞合傳輸線很容易獲得最佳特性阻抗值。

為了比較,我們使用了Agilent Technologies公司的ADS(Advanced Design System)計算機輔助工程(CAE)軟件套件對性能進行仿真,同時用商用微波矢量網絡分析儀(VNA)對設計原型進行測量。分析結果顯示了負載功率和源功率之間的關系。
[page]
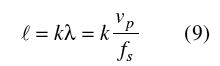
為了測定變壓器的低頻響應,必需知道鐵氧體磁芯的特性,因為電感因子Al與特定頻率有關。除此之外,還需獲知源的內部阻抗(Rg),這樣設計人員可以求得低頻截止頻率(fi),然后運用公式4就能夠計算出所需要的初級線圈匝數(Np)。要確定高頻響應,需要知道傳輸線在所需要的工作頻率上的一些特性值,比如特性阻抗(Zo),傳播速度(vp),以及相位因子(β)。有了源阻抗值(Rg)和負載阻抗(Rc)值,就可以根據公式6求出特性阻抗(Zopt)的最佳理論值。知道了傳輸線的各特性值,高頻截止頻率(fs)和傳輸線的實際特性阻抗Zo,就有可能計算出傳播速度(vp)和相位因子(β)。利用實際的特性阻抗值Zo,它和Zopt之間的差就可以確定,最后求出fs下的插損。圖4顯示了如何通過實際特性阻抗(Zo)和插損求得k值。已知k、vp和fs值,就可以可通過下式計算出達到以往規格所需的傳輸線長度(l):

MathWorks的MATLAB數學分析軟件曾被用來分析這種變壓器器件模型的響應。分析中,把單獨的低頻(公式1)響應和高頻(公式5)響應的插損響應結合在了一起。將所需的目標值代入MATLAB公式,可獲得寬帶變壓器的最終響應。為了執行MATLAB模型數值響應的電氣仿真,使用了ADS建模軟件。該軟件有一個很有用的內部源模型,稱為XFERRUTH,其變量參數包括匝數(N)、電感因子(AL)、傳輸線特性阻抗(Z)、傳輸線電氣長度(E),以及計算傳輸線長度所需要的參考頻率(F)。
為了對變壓器響應進行散射參數(S參數)仿真,ADS采用它的S_Param建模器,按照規定的步長和刻度步長調節初始(開始)的和最終(停止)的掃頻頻率。源和負載阻抗由一個阻抗值為Z的、被稱為Term的特殊終端表示。圖5所示為ADS仿真中所用的電路。

測量在Advantest的一個商用VNA,300kHz至3.8GHz模型R3765CG上進行。這個分析儀配有50Ω端接阻抗的非平衡測試端口。由于寬帶unun阻抗變壓器具有非平衡終端,轉換比率為1:4,為了讓該器件與測試設備相匹配,需要另一個轉換比率為4:1的器件來執行阻抗轉換。圖6和圖7顯示了所有的終端連接。測試終端和所有用于VNA的線纜都經過校準,以最大限度地減少它們出現錯誤的可能性。插損和通帶響應利用表示為對數幅值形式的傳輸系數S21來分析。
[page]
我們對幾種測量條件下的分析式(MATLAB)、數值式(ADS)和實驗模型的結果進行了比較。實驗中采用了Sontag Componentes Eletronicos的環形鐵氧體磁芯模型E1003C5。它的幾何和電磁數據包括10mm的外直徑、5mm的內直徑,3mm的寬度,11的相對磁導率(μr),以及4.2nH/匝數2的電感因子(Al)。該模型專門用于500kHz~50MHz的頻率范圍。每厘米傳輸線長度絞合次數為5,使用30AWG導體傳輸線。在130MHz,傳輸線的特性阻抗為38Ω,相位因子(β)為4.5501rad/m,傳播速度(vp)為1.7952x108m/s。對于50Ω的源阻抗,根據公式8,最佳特性阻抗值必然為100Ω,意味著0.38倍的關系。這種偏差和3dB插損下的k值為0.2207。


構建的第一個器件線圈匝數為4,因此傳輸線長度為9cm。圖8、9和10分別顯示了分析、數值和實驗三種情況下的頻率插損行為。表中總結了主要的參數值,包括最大幅值、-3dB頻率(fmax、fi-3dB和fs-3dB)、適當的帶寬(BW),以及相比模型值頻率偏差百分比下的各種插損結果。通過分析、數值和實驗方法獲得的結果間的偏差非常小,信號頻率最大時例外。這都是由于測量設置中噪聲和其它寄生效應造成的測試系統的局限性。在幅度基本穩定的測試頻帶上,信號電平的變化是幾乎察覺不到的,也許這就是最大信號幅度頻率的報告中出現偏差的原因。

[page]
構建的第二個器件線圈匝數為6,傳輸線長度11cm。隨匝數的增加,低端截止頻率降低,高端截止頻率也因傳輸線長度的增加而降低。對于低端截止頻率,分析方法和數值方法的結果和預期值一樣。但實驗響應與理論模型卻非完全吻合。但高頻響應的值正如預期,三種方法獲得的結果吻合良好。
由圖11、12和13可看出,在分析、數值和實驗三種情況下,插損都是頻率的函數(也可從表中看出)。由于模型本身的不完善性,分析和數值結果間有微小偏差。另一方面,實驗結果證明了模型的正確性,但低頻限值處例外,這里出現的誤差最大。其原因在于理論模型沒有考慮到變壓器中各元件的所有寄生因素。


為了進行進一步的比較,我們構建一個匝數為8,傳輸線長度為14cm的變壓器。圖14、15和16分別總結了利用分析、數值和實驗方法獲得的結果。在低端截止頻率上,分析方法和數值方法的結果一致,但實驗結果與理論模型不吻合。不過,在高端截止頻率獲得的值彼此相近,也接近預期值。隨著匝數增加,低端截止頻率降低;類似地,隨傳輸線長度增加,高端截止頻率也降低。


盡管三組結果是由不同的方法求出的,但它們彼此吻合良好。分析(MATLAB)和數值(ADS)模型獲得的響應與實驗獲得的響應(VNA測量值)比較起來十分接近。利用分析和數值方法獲得的值近似相等,但與實驗結果相比有少許差異。最好的解釋是,理論模型沒有把變壓器結構中所采用的各元件的復雜特性完全考慮在內,而是按照幾乎“理想”的元件來建模的。

這些模型公式代表了一個線圈變壓器的等效電路簡化模型。最新研究表明,我們需要采用一種能夠把電阻性和電抗性效應隨頻率和匝數增加的變化考慮在內的更精密的模型。

這些先進的模型還考慮到了匝間電容的影響,這種影響會降低電感的自諧頻率。不過,盡管如此,本文中的簡化設計公式仍可以給出很有意義的結果,能夠取代1:4阻抗變壓器設計中常常涉及到的更麻煩的經驗式處理方法。正如這些簡化公式所示,它們可用來設計頻率范圍很寬的(三個八度音階)低插損、低成本變壓器。





