【導讀】在工業傳感領域中,儀表放大器應用最為廣泛,相比通用放大器,它的輸入阻抗高,抗共模干擾強,在強噪聲環境下,能保證放大電路的增益與精度,然而需要注意儀表放大器的工作電壓配置方式比較復雜。本篇討論儀表放大器特性與有效工作電壓配置方法。
在工業傳感領域中,儀表放大器應用最為廣泛,相比通用放大器,它的輸入阻抗高,抗共模干擾強,在強噪聲環境下,能保證放大電路的增益與精度,然而需要注意儀表放大器的工作電壓配置方式比較復雜。本篇討論儀表放大器特性與有效工作電壓配置方法。
1 儀表放大器定義與特性
儀表放大器(instrumentation amplifier,INA)典型結構如圖3.1,內部由3個放大器組建而成。第一級由兩個放大器(AMP1,AMP2)組建同相放大電路,實現高阻抗差分輸入,內置反饋電阻Rf1,Rf2,與外部配置電阻Rg調節增益。第二級使用一個放大器(AMP3)組建差動電路,R1、R2、R3、R4是經過校準的高精度匹配電阻。另外,通過REF腳調節輸出電壓的參考。

圖3.1 儀表放大器結構
儀表放大器輸入阻抗通常為GΩ等級。如圖3.2,AD8421的共模、差模輸入阻抗都為30GΩ。
圖3.2 AD8421輸入特性
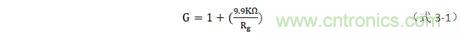
儀表放大器的增益配置通過內部Rf1,Rf2與外部Rg阻值實現,由于每款儀表放大器內部反饋電阻的阻值不同,需要通過數據手冊確認。如圖3.3,AD8421的增益為式3-1。
增益電阻Rg,滿足式3-2。

圖3.3 AD8421引腳功能描述
儀表放大器的基準引腳用來調節輸出信號的參考電壓。如圖3.1,基準引腳REF在電阻R4的一端,R4通常為KΩ級。為獲得最佳性能,在驅動基準引腳時,不能使用電阻器分壓直接驅動,而是在電阻器輸出增加放大器做緩沖,再提供到基準引腳,如圖3.4。

圖3.4AD8421基準引腳驅動方式
2 儀表放大器有效工作配置
儀表放大器、差分放大器的用途是將輸入差模信號進行放大,但是只關注的差模信號,忽略共模信號就會發生問題。
2017年11月初,一位測量領域的工程師反饋問題,他使用AD8221數據手冊推薦電路,如圖3.5(a)。將±10V單端信號轉為+5V差分信號驅動一款∑Δ型ADC。測試中,使用信號源產生幅值為1V的直流信號作為激勵與電路連接,AD8221電路輸出信號如圖3.5(b)。
工程師希望使用該電路實現萬用表的電壓測量功能,檢測指定范圍內任意兩點的電壓,目前這個電路不能工作。了解到這里,筆者讓工程師查看測量電路與信號源是否存在共地端?答案是沒有,信號源與AD8221兩個輸入端相連接,除此以外沒有任何電氣連接。

圖3.5 AD8221應用電路與測試情況
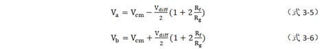
筆者幫助工程師分析儀表放大器的模型如圖3.1,放大的差模信號Vdiff是兩個輸入端以地電位為參考的電壓之差,如式3-3。
這兩個輸入端都存在共模信號,等于兩個輸入端對地電壓的平均值,如式3-4。
儀表放大器電路第一級放大器的輸出電壓Va,Vb分別為式3-5、式3-6。

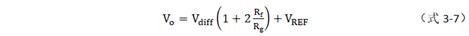
當差模信號與共模信號在輸入范圍內,儀表放大器才能正常工作,輸出電壓Vo為式3-7。
目前測試電路的問題在于兩個輸入信號沒有參考電位,所以建議將AD8221的一個輸入端與電路板的地電位連接,工程師修改后電路正常工作。
該案例判斷中AD8221儀表放大器的輸入信號、輸出信號是否在有效范圍內的辦法是使用鉆石圖。在指定增益,與指定供電電壓范圍內,輸入共模電壓與輸出電壓范圍的有效區間。如圖3.6(a),AD8221電路增益為1倍,供電電壓為±5V時,輸入共模電壓和輸出電壓在綠色陰影區,電路有效工作。當供電電壓為±15V時,輸入共模電壓和輸出電壓在紅色陰影區,電路有效工作。如圖3.6(b),AD8221電路增益為100倍,供電電壓為±5V時,輸入共模電壓和輸出電壓在藍色陰影區,電路有效工作。供電電壓為±15V,輸入共模電壓和輸出電壓在紫色陰影區,電路有效工作。

圖3.6 AD8221鉆石圖
數據手冊通常提供部分典型的供電電壓值的鉆石圖,這無法滿足工程師多樣的需求,給工程師的設計工作帶來很多不便。所以在此推薦一款在線評估工具,筆者已經使用該工具幫助過20余位工程師快速找出設計問題。建議在設計之初,使用工具進行評估。
如圖3.7為ADI公司精密信號在線設計工具界面,選擇“IN AMP”,進入儀表放大器配置窗口,如圖3.8(a)。通過選項1選擇需要評估的器件AD8221,然后在選項2配置為差分輸入架構,接下來配置供電電壓±Vs為±10V,參考電壓源VREF為0V,增益Gain為100,輸入共模電壓Vcm為±5V,輸入差模電壓Vdiff為±50mV,該電路配置狀態下的鉆石圖如圖3.8(b),在25℃條件下,輸出電壓Vout與輸入共模電壓Vcm形成的區域(紅色陰影區)沒有受到限制,電路正常工作。

圖3.7 精密信號鏈設計工具

圖3.8 AD8221有效工作配置
如圖3.9,當輸入共模電壓調整為±6V,使用該配置的電路會出現故障提示,AD8221內部節點電壓受到供電電壓限,以及整改方式,包括:
(1)縮小輸入信號范圍。
(2)增大AD8221供電電壓。
(3)降低AD8221增益。
(4)替換器件。

圖3.9 AD8221 異常工作配置
綜上,儀表放大器的工作電配置與通用放大器的工作電壓配置有很大不同,所以,如果不結合輸入差模信號,共模信號、參考源電壓(含驅動方式)這些因素綜合考慮,電路可能會難以正常工作。
免責聲明:本文為轉載文章,轉載此文目的在于傳遞更多信息,版權歸原作者所有。本文所用視頻、圖片、文字如涉及作品版權問題,請電話或者郵箱聯系小編進行侵刪。




