【導讀】本博客共分兩個部分,第 1 部分我們探討了使 Fly-Buck 設計穩定所需的重要設計指標。本文我們將介紹如何將這些設計指標應用到 Fly-Buck 電路設計中,以及這會對轉換器工作產生怎樣的影響。

圖 2. 典型的雙輸出 LM5017 Fly-Buck 電路
我們假設您已經收集了所需的電源規范,并決定使用 LM5017 Fly-Buck 作為電源解決方案(圖 2)。Fly-Buck 設計過程與普通降壓轉換器有很多共同之處。在確定一次側電感和開關頻率后,下一步就是設計合適的紋波注入網絡(Rr、Cr 和 Cac),以確保穩定工作。設計步驟如下:
首先從一些初始值開始:Rr=10k?、Cr=10nF、Cac=1nF
調整輸出電容,確保達到穩定性指標:

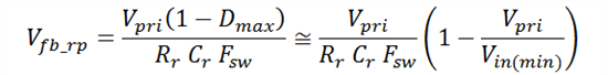
應提供足夠的裕量以獲得不等式左側信息。如果將功率損耗包含在內,真正的占空比會更大一點,而且 DC 偏置額定值降低以及對陶瓷電容的溫度影響會讓電容值更低。
3. 確定 FB 引腳紋波是否高于 25mV:

通過調整 Rr 和 Cr 來設置紋波幅值。不要使其太大 (<100mV),必要時可返回步驟 2 調整 Cout。
4. 確定 AC 耦合濾波器截止頻率是否足夠低:

Cac 的選擇不是關鍵,建議值為 Fsw/10。只要 Fc 明顯低于 Fsw,它就不會影響紋波的通過。
圖 3 至圖 5 中的電路仿真波形顯示了不同紋波注入設置的影響。Fly-Buck 轉換器規范如下:Vin=24V,Vopri=10V,Fsw=275kHz,Lpri=50uH,變壓器匝數比為 1:1。在圖 3 中,電路配置不符合穩定性標準,因此顯示雙脈沖的開關節點電壓不穩定。在圖 4 中,Rr 從 50k? 降至 30k?,開關性能變得穩定。圖 5 是另外一種提高穩定性的方法:在不改變 Rr 和 Cr 的情況下,增大 Cout。這樣有助于在達到指標的情況下保持低紋波電壓。

圖 3. Rr=50k?,Cr=10nF,Cac=1nF,Cout=4.7uF

圖 4. Rr=30k?,Cr=10nF,Cac=1nF,Cout=4.7uF

圖 5. Rr=50k?,Cr=10nF,Cac=1nF,Cout=10uF
從實際出發,電源設計人員需要考慮很多方面,可能需要根據電路板測試結果進行調整。這些設計步驟是創建 LM5017 Fly-Buck 設計的良好開端。LM5017 Fly-Buck 的快速啟動計算器在這里提供。有了它,您不僅可設計具有多達 4 個隔離輸出的 Fly-Buck,而且還可獲得紋波注入網絡計算功能和其它外部組件。如有任何問題,請告訴我。
參考資料:
1.如何設計具有 COT 的穩定 Fly-Buck™ 轉換器(第 1 部分)
2.EDN:產品指南:Fly-Buck 無需光耦合器即可為降壓電路提供具有良好穩壓的隔離式輸出
3.應用手冊《設計隔離式降壓 (Fly-Buck) 轉換器的 AN-2292》
4.Tian, S,《陶瓷電容器恒定導通時間 V2 控制的小信號分析與設計》碩士論文,佛吉尼亞理工大學 2012 年
5.德州儀器的寬泛 Vin DC/DC 電源解決方案
推薦閱讀:




