【導讀】對于在反饋環路中采用MEMS慣性測量單元(IMU)的高性能運動控制系統,傳感器對準誤差常常是其關鍵考慮之一。對于IMU中的陀螺儀,傳感器對準誤差描述各陀螺儀的旋轉軸與系統定義的“慣性參考系”(也稱為“全局坐標系”)之間的角度差。為了管控對準誤差對傳感器精度的影響,可能需要獨特的封裝、特殊的組裝工藝,甚至在最終配置中進行復雜的慣性測試。
所有這些事情都可能會對項目管理的重要指標:如計劃、投資和各系統中IMU相關的總成本等,產生重大影響。因此,在設計周期的早期,當還有時間界定系統架構以實現最有效解決方案的時候,對傳感器對準誤差加以考慮是十分有必要的。畢竟,沒有人希望在燒掉項目80%的計劃時間和預算之后才發現,為了滿足最終用戶不容商量的交貨要求,其并不昂貴的傳感器需要增加數百甚至數千美元的意外成本,那樣可就糟糕至極了!
設計系統的IMU功能架構時,有三個基本對準概念需要了解和評估:誤差估計、對準誤差對系統關鍵行為的影響以及電子對準(安裝后)。初始誤差估計應當包括IMU以及在運行過程中將其固定就位的機械系統這兩方面的誤差貢獻。了解這些誤差對系統關鍵功能的影響有助于確立相關性能目標,防止過度處理問題,同時管控無法兌現關鍵性能和成本承諾的風險。最后,為了優化系統的性能或以成本換空間,可能需要某種形式的電子對準。
預測安裝后的對準誤差
一個應用的對準精度取決于兩個關鍵因素:IMU的對準誤差和在運行過程中將其固定就位的機械系統的精度。IMU的貢獻(ΨIMU)和系統的貢獻(ΨSYS)通常并不相關,估計總對準誤差時,常常是利用和方根計算將這兩個誤差源加以合并:

某些IMU規格表通過“軸到封裝對準誤差”或“軸到坐標系對準誤差”等參數來量化對準誤差。圖1以夸張方式顯示了ADIS16485中各陀螺儀相對于其封裝邊緣的對準誤差。圖中的綠色虛線代表封裝定義的參考系的各軸。實線代表封裝內部陀螺儀的旋轉軸,ΨIMU代表三個對準誤差項的最大值(ΨX、ΨY、ΨZ)。

圖1: ADI16485軸到坐標系的對準誤差。
為了預測系統對準誤差的貢獻(公式1中的ΨSYS),需要分析機械缺陷導致IMU在系統中的停靠位置相對于全局坐標系偏斜的可能性。使用焊接到印刷電路板的IMU時,這將涉及到以下考量因素:原始放置精度、焊料沉積的差異、回流焊期間的浮動、PCB關鍵特性(如安裝孔等)的容差以及系統框架本身的容差等。使用模塊式IMU時,它可以與系統外殼實現更直接的耦合,如圖2所示。此類接口有兩個關鍵機械特性可幫助管控安裝偏斜誤差:安裝架(4×)和安裝巢。

圖2:內嵌式底板設計概念。
在此類安裝方案中,四個安裝架的高度差異就是機械差異的一個例子,可能引起x軸和y軸的安裝偏斜。圖3以夸張方式說明了這種偏差(H1與H2)對x軸安裝偏斜(ΨX)的影響。

圖3:安裝架差異引起的對準誤差。
Mounting Ledges: 安裝架
公式2反映了x軸偏斜角度(ΨX)與高度差(H2到H1)和兩個接觸點間跨度(W到W1)的關系:
安裝架高度差異對y軸的安裝偏斜也有類似的影響。此時,?用封裝長度(L)替換公式2中的寬度(W),便可得到如下用于估計y軸偏斜角度(ΨY)的關系式。
圖4提供了另一個例子來說明機械特性如何影響z軸的安裝偏斜。本例中,機械螺絲先穿過IMU主體的安裝孔(位于四角),再穿過安裝架的孔,最后進入安裝架背部的鎖緊螺母。這種情況下,機械螺絲的直徑(DM)與底板中相關通孔的直徑(DH)之間的差異會引起z軸偏斜。

圖4:安裝螺絲/孔對z軸偏斜角度的影響。
公式4反映了z軸安裝偏斜(ΨZ)與直徑差和旋轉半徑(RS,等于相對兩角的兩個安裝螺絲間距離的一半)的關系。
7
示例1
使用2mm機械螺絲將ADIS16485安裝到6mm×6mm安裝架上,安裝架的孔直徑為2.85mm,高度容差為0.2mm,估算與此相關的總對準誤差。
求解
使用44mm的標稱寬度(W),x軸偏斜角度(見圖3)預測值為0.3度。
封裝各邊上安裝孔間的標稱距離分別為39.6mm和42.6mm。這些尺寸構成直角三角形的兩邊,其斜邊等于封裝相對兩角的兩個孔之間的距離。旋轉半徑
(RS,見圖4)等于此距離的一半(29.1mm),因此z軸偏斜的預測值為0.83度。

對于式1中的復合預測公式,ΨSYS等于ΨZ(估算最大值),ΨIMU等于1度(依據IMU數據手冊中的軸到坐標系對準誤差規格)。因此,總對準誤差估算值為1.28度。
對準誤差對系統精度的影響
為應用制定精度標準時,了解對準誤差與其對陀螺儀精度影響之間的基本關系是一個很好的著手點。為了說明該過程,圖5提供了三軸陀螺儀系統的通用模型。圖中的三條綠色實線代表全局坐標系的三軸,黑色實線代表所有三個陀螺儀的旋轉軸,帶Ψ標簽代表全局坐標系與陀螺儀軸之間的對準誤差。公式5、公式6和公式7顯示了對準誤差對各陀螺儀繞全局坐標系中指定軸旋轉的響應的影響。在這些公式中,對準角度誤差的余弦引入一個比例誤差。

圖5:正交三軸陀螺儀的對準誤差。
對準誤差還會對各軸產生跨軸影響。為了量化這些影響,需要將各軸的對準角度誤差分解為與其它兩軸相關的兩個分量。例如,ΨX有一個y軸分量(φXY)和一個z軸分量(φXZ),導致x軸陀螺儀對繞全局坐標系中所有三軸旋轉(ωX, ωY, ωZ)的響應擴展如下:
y軸和z軸陀螺儀也有同樣的擴展:
對公式8、公式9和公式10的兩側積分,可得到關于角位移的類似關系。在得到的公式11、公式12和公式13中,我們關心的角度是相對于全局坐標系的角位移(θXω, θYω, θZω)和各陀螺儀的積分(θXG, θYG, θZG)。

示例2
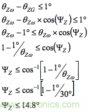
一種地面無人駕駛車輛(UV)利用MEMS IMU作為平臺穩定控制(PSC)系統中的反饋傳感器以支持其天線。此系統采用RSS調諧器環路,后者要求方位角和仰角保持在±1?范圍內,以便維持連續通信。在大多數動態情況下,PSC高度依賴y軸陀螺儀測量來控制仰角,以及依賴z軸陀螺儀測量來控制方位角。在此類動態情況下,航向角(θZω)的最大變化為30?,并且在作這種機動期間沒有繞x軸或y軸的旋轉(θXω = θYω = 0)。
求解
由于繞x軸和y軸的旋轉為0,公式8和公式9可簡化為:
從y軸開始,設θYG的最大邊界為1?,求解對準誤差項ΦYZ。這樣便可求得y軸陀螺儀的最大允許對準誤差為1.9度。
對于z軸,設θZω等于30?,θZG和θZω之差的最大邊界為1度,然后求解ΨZ。這樣便可求得z軸陀螺儀的最大允許對準誤差為14.8度。

上述計算表明,對于這種特定機動/情形,y軸和z軸之間的跨軸行為要求對準精度約為1.9度。
電子對準
在IMU和安裝系統不滿足關鍵系統目標的情況下,電子對準提供了一種減小對準誤差的方法。該過程有兩個重要步驟:測定對準誤差項(IMU安裝之后)和制定一個校正對準矩陣。將該矩陣應用于陀螺儀陣列時,陀螺儀將像已與全局坐標系對準一樣作出響應。公式14為此過程提供了一個系統模型,其中繞全局坐標系各軸的旋轉(ω)是三個系統輸入,三個陀螺儀響應(G)是系統輸出,3 × 3矩陣(M)代表輸入與輸出之間的系統行為(包括對準誤差)。
通過簡單的算術操作可得,陀螺儀測量結果(G)與M的逆矩陣(M–1)的乘積等于全局坐標系的旋轉陣列(ω)。因此,對準矩陣等于M–1。
基于公式8、公式9和公式10,可將公式14擴展以包括對準誤差項,如公式16所示,公式17和公式18是更一般形式:

一次僅繞一個軸旋轉整個系統可將系統模型簡化到足夠簡單的程度,使得矩陣中的每個元素都可以通過一次陀螺儀測量獲得。例如,讓系統繞x軸旋轉(ωX = ωTR, ωY = 0, ωZ = 0),同時觀測所有三個軸,則M11、M21和M31的關系可簡化如下:
采用同樣的方法,繞y軸旋轉(ωX = 0, ωY = ωTR, ωZ = 0),則M12、M22和M32的關系可簡化如下:

最后,繞z軸旋轉(ωX = 0, ωY = 0, ωZ = ωTR),則M13、M23和M33的關系可簡化如下:

顯然,運動配置(ω)的精度和陀螺儀測量(G)對此過程有直接影響。具體說來,偏軸運動對此過程有顯著影響,當購買和部署依賴這些要求的慣性測試設備時,必須予以考慮。就陀螺儀精度而言,偏置和噪聲是兩大威脅,在此過程中通常需要考慮。為了管控陀螺儀測量中殘余偏置誤差(bE)的影響,有一個技巧是使用兩個不同的旋轉速率——大小相等但方向相反。例如,繞y軸沿正方向旋轉時(ωY = ωTR, ωX = ωZ = 0),公式28描述了z軸陀螺儀響應和偏置誤差。公式29則描述了繞y軸沿負方向旋轉時(ωY = –ωTR, ωX = ωZ = 0)z軸陀螺儀的響應。
變換公式29,寫出偏置誤差(bE)的表示形式,代入公式28中,然后求解M32。注意偏置誤差(bE)是如何從公式中消除的。

此公式假設偏置誤差在兩次測量中保持不變,這并不是一個符合實際的期望,不同測量之間可能存在偏差(溫度、時間和噪聲),對此應有清醒的認識。當在穩定的溫度條件下連續進行測量時,噪聲常常是此過程中需要管控的關鍵誤差。在陀螺儀測量中,可接受的噪聲水平取決于對準精度目標(ΨT)和測定過程中各軸上的旋轉速率(ωTR)。慣性條件保持不變時,一種常用的降噪技術是對陀螺儀數據求均值。利用Allan方差曲線這個工具可以了解可重復性(噪聲)與均值時間之間的權衡關系。
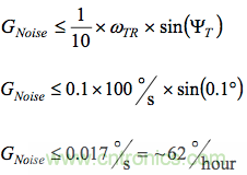
示例3
如果特性測定期間的旋轉速率為100?/s,對準精度目標為0.1度,噪聲(rms)必須比對準誤差目標低10倍,那么為了實現這些目標,我們需要對ADIS16485的輸出求多長時間的均值?
求解
使用陀螺儀與輸入之間的一般響應(在測試平臺上旋轉),下面的計算表明:各陀螺儀的總噪聲(rms)必須低于62?/小時。

圖6通過一個例子說明了如何使用此IMU的Allan方差曲線來選擇均值時間以滿足上述要求。本例中,0.1秒的均值時間可滿足62?/小時的可重復性目標,還有一些裕量。

圖6:ADIS16485 Allan方差曲線。
注意,這種方法僅針對傳感器本身的噪聲。若測試平臺有振動,會增加陀螺儀測量的噪聲,則可能需要額外的考慮和濾波。
簡化對準過程的技巧和竅門
開發一個具有必要的精度和環境控制溫度的三軸慣性測試系統,通常需要在固定設備和工程開發資源方面投入巨資。對于那些正在開發第一代或第二代系統,在開發過程中有很多問題需要回答的公司,可能沒有此類資源或時間。這就產生了簡化解決方案的需求,通過謹慎選擇IMU并利用儀器或應用中的自然運動可以實現簡化。
例如,有時候使用角度可能比使用角速率測量來得更方便。公式31是公式11、公式12和公式13合并的結果,它用相對于全局坐標系的角度(θXω, θYω, θZω)和陀螺儀輸出的積分(θXG, θYG, θZG)來代表系統行為(M):
關于器件選擇,軸到軸對準誤差是一個需要考慮的重要參數,因為當它低于軸到封裝對準誤差參數時,將有助于降低與電子對準相關的慣性測試配置(公式16)的復雜度。軸到封裝對準誤差參數描述的是陀螺儀相對于外部機械基準的方位,而軸到軸對準誤差參數描述的是各陀螺儀相對于另外兩個陀螺儀的方位。多數情況下,MEMS IMU中三個陀螺儀的理想方位是彼此成90?,因此軸到軸對準誤差與此行為的另一個常見參數(跨軸靈敏度)相關。利用公式7作為參考,軸到軸對準誤差代表這三個關系的最大值:


圖7:軸到軸對準誤差。
制定電子對準流程時,軸到軸對準誤差參數確定的是假設傳感器完全正交對準時的誤差。使用完全正交這一假設條件,僅旋轉兩軸便可對準所有三軸。例如,繞y軸和z軸旋轉便可直接觀測到M12 、M13、M22、M23、M32和M33。假設完全正交對準并應用三角函數,便可利用以上6個元素和以下關系式計算其他三個元素(M11、M21和M31):

以上等式可將系統模型更新如下,其中M矩陣中的所有9個元素用從y軸和z軸旋轉得來的6個元素表示。
結論
慣性MEMS技術在過去幾年已經取得長足進步,為系統開發商在復雜權衡范圍內提供了廣泛的選項,包括尺寸、功耗、單位成本、集成成本和性能。對于首次利用MEMS IMU開發運動控制系統的人員,為了選擇合適的IMU并準備利用該IMU來支持關鍵系統需求,會有很多東西需要了解。對準精度對性能、成本和計劃方面的關鍵目標會有重大影響,必須予以認真考慮。在概念和架構設計階段,即使很簡單的分析工具也能幫助找出潛在的風險,因此應當趁著還有時間影響器件選擇、機械設計、安裝后校準(電子對準)、初步成本預測和關鍵計劃節點的時候,多做些工作。更進一步說,識別MEMS IMU的關鍵指標和機會,用系統中提供的自然運動代替三軸慣性測試設備以最大限度地發揮系統的價值(性能和總開發成本),將是非常有益的。
【推薦閱讀】





