儀表放大器可以調理傳感器生成的電信號,從而實現這些信號的數字化、存儲或將其用于控制信號一般較小,因此,放大器可能需要配置為高增益。另外,信號可能會疊加大共模電壓,也可能疊加較大直流失調電壓。精密儀表放大器可以提供高增益,選擇性地放大兩個輸入電壓之間的差異,同時抑制兩個輸入中共有的信號。
惠斯登電橋是這種情況的經典例子,但像生物傳感器一類的原電池具有類似的特性。電橋輸出信號為差分信號,因此,儀表放大器是高精度測量的首選。理想情況下,無負載電橋輸出為零,但僅當所有四個電阻均完全相同時,這種情況方為真。假如有一個以分立式電阻構建的電橋,如圖1所示。最差情況差分失調VOS為

其中,VEX為電橋激勵電壓, TOL為電阻容差(單位為百分比)。

圖1:惠斯登電橋失調
例如,在各元件的容差均為0.1%且激勵電壓為5 V時,差分 失調可以高達±5 mV。如果需要400的增益來實現所需電橋靈 敏度,則放大器輸出端的失調變成±2 V。假設放大器由同一電源驅動,并且其輸出可以軌到軌擺動,則僅電橋失調就可能消 耗掉80%以上的輸出擺幅。在行業要求電源電壓越來越小的趨勢下,這個問題只會變得更加糟糕。
傳統的三運放儀表放大器架構(如圖2所示)有一個差分增益級,其后為一個減法器,用于移除共模電壓。增益施加于第一級,因此,失調放大的倍數與目標信號相同。因此,將其移除 的唯一方法是在參考(REF)端施加反電壓。這種方法的主要不足在于,如果放大器的第一級已經飽和,則調節REF 上的電 壓并不能更正失調。克服這點不足的幾種方法包括:
●根據具體情況,以外部電阻對電橋分流,但對于自動化 生產來說,這是不現實的,而且在出廠后是無法調整的;
●減少第一級增益,通過微調REF上的電壓來移除失調,并再添一個放大器電路以實現所需增益;
●減少第一級增益,以高分辨率ADC完成數字化輸出,并在軟件中移除失調。
[page]
后兩種選項還需要考慮最差情況下與原始失調值的偏差,從而 進一步減少第一級的最大增益。這些解決方案并不理想,因為 它們需要額外的電源、電路板空間或成本,來達到高CMRR和低噪聲的目標。另外,交流耦合并不是測量直流或超慢移動 信號的一種選擇。

圖1:惠斯登電橋失調
間接電流反饋(ICF)儀表放大器(如AD8237和AD8420可在放大之前移除失調。圖3顯示ICF拓撲結構原理圖。

圖3:間接電流反饋儀表放大器拓撲結構
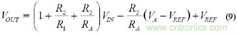
該儀表放大器的傳遞函數在形式上與經典三運放拓撲結構的 傳遞函數相同,其計算公式為

由于輸入之間的電壓等于反饋(FB)與參考(REF)端子之間的電壓時,放大器的反饋要求可得到滿足,因此,我們可將該公式重寫為

這意味著,引入一個等于反饋和參考端子之間失調的電壓,即使在存在大輸入失調的情況下,也可將輸出調整為零伏特。如圖4所示,該調整可以通過以下方法實現:從一個簡單的電壓源(如低成本 DAC)或者來自嵌入式微控制器的濾波PWM信號,通過電阻RA將一個小電流注入反饋節點。

圖4:帶失調移除功能的高增益電橋電路
[page]
設計步驟
等式(3),R1與R2之比將增益設為:

設計師必須確定電阻值。較大電阻值可降低功耗和輸出負載; 較小值可限制FB輸入偏置電流和輸入阻抗誤差。如果R1和R2的并聯 組合大于約30kΩ, 則電阻開始引起噪聲。 表1顯示了一些建議值。

表1:各種增益的推薦電阻(1%電阻)
為了簡化RA值的查找過程,假設采用雙電源運行模式,有一 個接地REF端子和一個已知的雙極性調整電壓VA。這種情況 下的輸出電壓可通過以下公式計算:

注意,從VA至輸出的增益為反相。VA的增加會使輸出電壓降低,比值為R2和RA之比。此比值下,可以針對給定的輸入失調,使調整范圍達到最大。由于調整范圍指向增益之前的放大器輸入,因此,即使在低分辨率源的情況下,也可實施微調。由于RA一般都比R1大得多,因此,我們可以得到等式(5)的近似值:

為了找到一個RA值以允許最大失調調整范圍VIN(MAX), 在給定調整電壓范圍VA(MAX)的情況下,使VOUT=0,求RA,結果得到

其中, VIN(MAX)為傳感器預期的最大失調。等式(5)同時顯示, 調整電路的插入會修改從輸入到輸出的增益。即使如此,其影 響一般也很小,增益可以重新計算為:

一般地,對于單電源電橋調理應用,參考端的電壓應大于信號地。如果電橋輸出可以在正負間擺動,情況尤其如此。如果基準電壓源由一個低阻抗源(如分阻器和緩沖器)驅動至電壓VREF,如圖5所示,則等式(5)變為:

如果相對于原始等式中的VREF取VOUT和VA,則可得到相同的結果。 VA(MAX)~VREF也應替換等式(7)中的VA(MAX)。
[page]
設計示例
假設有一個單電源電橋放大器,如圖4所示,其中,用3.3 V電壓來激勵電橋并驅動放大器。滿量程電橋輸出為±15 mV, 失調可能處于±25-mV的范圍。為了取得所需靈敏度,放大器增益需為100,ADC 的輸入范圍為0 V至3.3 V。由于電橋的輸出可以為正,也可以為負,因此,其輸出指向

圖5:針對單電源工作模式而修改的失調移除電路
從表1可以發現, 增益為101時, R1和R2需為1 kΩ和100 kΩ。 電路包括一個可以在0 V至3.3 V范圍內擺動,或者在1.65V基準電壓左右擺動±1.65 V。為了計算RA的值,我們使用等式(6)。其中,VA(MAX)= 1.65 V且VIN(MAX)= 0.025 V, RA= 65.347kΩ。當電阻容差為1%時,最接近的值為64.9 kΩ。然而,這沒有為源精度和溫度變化導致的誤差留下任何裕量,因此,我們選擇一個常見的49.9-kΩ低成本電阻。這樣做的代價是調整分辨率降低了,結果導致略大的調整后失調。
從等式(7),我們可以算出額定增益值為103。如果設計師希望得到接近目標值100的增益值,最簡單的辦法是使R2的值降低3%左右,至97.6 kΩ,結果對RA的值的影響非常小。在新的條件下,額定增益為100.6。
由于DAC可以擺動±1.65 V,因此,總失調調整范圍可通過由RA 以及R1和R2的并聯組合形成的分壓器給定,其計算方法如下:

在±25-mV最大電橋失調范圍內,±32.1-mV的調整范圍可提供 28%的額外調整裕量。對于8位DAC,調整步長為

對于250-μV調整分辨率,輸出端的最大殘余失調為12.5 mV。
[page]
R3和C1的值可以通過ADC數據手冊中的建議值或參考文獻2來確定。對于采樣率為1 MSPS 的AD7091,這些值為51Ω和4.7 nF。在以較低速率采樣時,可以使用較大的電阻或電容組合,以進一步減少噪聲和混疊效應。
該電路的另一個優勢在于,可以在生產或安裝時完成電橋失調調整。如果環境條件、傳感器遲滯或長期漂移對失調值有影響, 則可重新調整電路。
受其真軌到軌輸入影響,AD8237最適合采用超低電源電壓的 電橋應用。對于要求較高電源電壓的傳統工業應用,AD8420不失為一款良好的替代器件。該ICF儀表放大器采用2.7 V至36 V電源供電,功耗低60%。
表2是對兩款儀表放大器進行了比較。都使用了最小和最大規格。

表2:AD8237和AD8420比較
看完以上的對電橋傳感器進行電路設計的原理分析和結合實例的講解是不是有更高層次的領悟和提高!
相關閱讀:
【精華】汽車溫度傳感器的功用及典型故障分析
http://m.sz-bosch.com/sensor-art/80022529
【支招】壓力校驗儀傳感器的故障處理方法
http://m.sz-bosch.com/sensor-art/80022437
絕對實用!一種FBAR傳感器信號處理電路的設計
http://m.sz-bosch.com/sensor-art/80022526


