【導讀】卓老師,我有一個信號與系統的問題想請教。按照時域采樣定理,采樣頻率≥2倍的信號頻率,才能得到信號全部信息。
而以智能車中的編碼器測速為例。我們知道測速周期在可接受范圍內越小越利于控速,比如2ms。但2ms采樣一次速度,究竟能不能得到速度信號的全部信息我們卻不得而知,歸根結底是因為不知道速度信號的頻率是多少。
那么智能車速度信號的頻率要如何得知呢?

速度光電編碼盤
(回復)提問中的問題包括有三個子問題:
(1)根據采樣定理,如何采集速度信號?
(2)使用光電碼盤測量速度信號主要誤差來源是什么?
(3)根據車模速度控制需要究竟需要按照什么周期采集速度信號?
同學們學習信號采樣定理,最容易犯的錯誤就是機械的照搬定理的結論,卻沒有注意到定理的使用條件。
信號采樣定理的應用條件有兩個:一是信號是一個頻帶受限信號,即信號有一個最高頻率;二是除了知道信號頻譜的最高頻率之外,不再知道其它信號的額外信息了。在此條件下,信號的奈奎斯特頻率,即信號的采樣頻率就是信號的最高頻率的兩倍。

如果額外還知道信號的其它條件,比如信號是一個窄帶信號,除了最高頻率之外,還有最低頻率;此時就可以使用低得多頻率完成信號的采樣。這一點可以參照鄭君里教授《信號與系統》第三章的最后一個習題。
舉一個極端的例子,如果已知信號是一個正弦波,即信號的頻譜是一個線譜,此時實際上只需要任意對信號采樣三個不同時間的數據,在一般意義上便可以恢復該信號,此時成為信號的參數估計。
對于車模的速度信號,經過光電編碼盤之后,它反映在兩路輸出正交方波信號中,速度信號是該方波信號的頻率參數。
此時可以看成速度信號調制在兩路正交同頻率的方波脈沖信號中,是調頻調制。因此,接受到的光電編碼信號是速度信號的調制信號。

接收到的光電編碼盤信號是速度的調制信號
所以光電編碼信號的頻譜并不是速度信號的頻譜,而是速度的頻譜被調制后進行了頻譜搬移。如果對速度信號進行采樣,則需要對原來信號進行解調之后才能夠獲得速度信號。
如何從光電脈沖信號解調出速度信號在第二個小問題進行回答。在此之前,還是需要討論普通車模的速度信號的頻譜范圍如何確定?
信號的頻譜范圍取決于信號的交流分量的范圍。如果車模的速度是保持在恒速運行,不論這個速度多大,對應的頻譜范圍都是0。
那么如何估計車模速度的交變分量呢?這一點可以使用車模從速度為零加速到最高速度的時間,或者從最高速度減速到0 的時間來衡量。這個時間的倒數與速度的頻帶寬度成正比。
比如車模使用0.2秒從靜止加速到最高速度并保持勻速運行,對于這樣一個斜邊速度信號,它的頻譜本身是無窮大的,但可以認為其主要頻譜能量集中在5Hz(0.2秒的倒數)以內。對于速度信號的采樣可以使用5Hz的兩倍以上的頻率完成采樣,即10Hz以上的采樣頻率。當然,為了留出一定的余量,則需要使用20H以上的頻率進行采樣。
具體采樣周期需要根據第二個問題-速度測量誤差來源和第三個問題車模速度離散控制周期綜合確定。
第二個問題是速度測量誤差來源。由于常見到的速度編碼器是將速度信號調制在兩路正交脈沖信號上。

一款實際應用的Hall傳感器測量速度
通常可以采用脈沖數量測量方法、脈沖周期測量方法、以及它們的組合方法。測量的誤差與總測量時間T成反比,即測量周期越長,所獲得的頻率越準確。

對于信號的頻率估計所產生的不確定性與信號的持續時間T呈現反比關系。這就是著名的信息測不準原理。相關的討論可以參見推文《傅里葉變換與不確定性》中的敘述。
因此,如果想獲得更加精確的速度信息,則需要更長的測量周期,則對應的測量速度的頻率就需要越低。最后在結合控制速度的精確度來粗略估計對速度的測量大體精度。
最后一個問題就是關于車模速度控制周期。車模的速度調節是由單片機通過軟件來實現的,這是一個離散時間控制系統。其中一個重要的參數,就是離散時間系統的控制周期的選擇。
離散時間控制系統的周期在選擇上只要比起控制對象的頻帶寬度對應的時間常數小一個數量級,便可以達到很好的控制效果了。
當確定下速度控制周期之后,對于速度采集的周期(頻率)也就相繼確定下來了,即速度控制周期就等于速度采樣周期。
需要根據控制效果來確定被控對象的控制周期。對于控制效果,往往需要根據控制結果的性能來衡量,它們包括控制量的過沖比率、上升時間、穩定時間以及穩態精度等等。這可以從控制對象的單位階躍響應曲線來定義。

下面是選擇了一個帶有0.2秒延遲的二階系統,它的單位沖擊響應如下圖所示:

為了提高該系統的性能,即減少系統過沖,同時提高系統的跟蹤速度,可以對該系統引入負反饋控制。
下面是引入比例負反饋控制的效果。比例控制參數從0增加到5.

下圖給出了在不同的反饋比例因子,反饋系統的過程比率。可以看到,在反饋比例系數為1.75左右時,系統過沖最小,大約在50%的過沖左右。

如果希望進一步減少系統的過沖,可以再引入微分控制項。下圖給出了反饋比例系數為1.75,微分反饋控制系數從0增加到1的過程中,系統的單位沖擊響應曲線。系統的過沖從50%降低到20%左右。

下圖繪制出在不同的微分系數下,系統的過沖變化曲線。在微分系數為0.75左右,系統過沖達到最小。

根據前面兩次實驗,可以大體確定下系統反饋控制的最優參數,比例系數為1.75,微分系數為0.75左右。
所形成的反饋控制如下圖所示:

使用MATLAB的bode命令繪制出此時系統的頻率特性:

從上圖可以看出,該系統是一個低通系統。但由于延遲的存在,系統具有多個諧振峰值。第一個截止頻率在1.6Hz左右,第一個諧振頻率在15Hz左右。
對于該系統如果采用單片機軟件控制,則需要確定控制周期。控制周期與控制效果之間有什么關系呢?
下圖通過實驗,對原來的連續控制系統進行離散化,取控制周期0.01s變化到0.75秒,觀察系統的單位沖激響應的變化。

下圖給出了在不同的控制周期下,系統的單位沖擊響應的過沖比率。從圖中可以看出,系統過沖量與控制周期之間并不是一個簡單的曲線關系,而是隨著控制周期增加呈現多次波動情況。
對于一個特定的對象,并不是控制周期越小越好,總是存在著一些最優的控制周期。
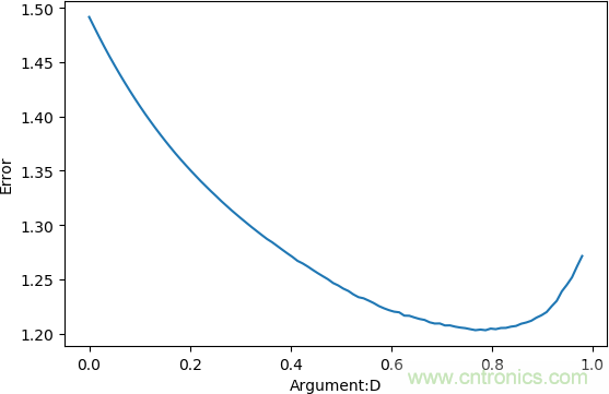
對于該系統,當控制周期超過0.618秒的時候,反饋系統就不再穩定,呈現發散狀態。

從上面的實驗可以看出,對于控制周期小于0.1秒的時候,系統是穩定的,而且過沖誤差控制在1.35之內。下面對于控制周期在0.01至0.1秒之間再進行實驗,觀察在不同控制周期下的控制效果。

下面曲線繪制出在控制周期從0.01秒到0.1秒變化時,系統的單位沖擊響應的過沖誤差曲線。該曲線呈現規律的波動。
因此,從整體上來看,對于該系統,控制周期只要小于0.1秒,系統過沖就不是很大了。控制周期從10毫秒至40毫秒之間控制性能差別不大了。

最后對于提問的回復進行小結:對于速度信號的測量,它的測量頻率不是按照光電編碼信號的最高頻率來確定的,而是按照其中速度信號的頻率來確定采樣信號的。速度的頻率范圍可以從車模加速時間或者停止時間的倒數來近似確定。
最終的速度采樣周期則需要跟控制軟件周期保持一致。而該周期的確定則是根據控制性能(過沖量、過渡時間、穩定精度等)來權衡。
實踐中,在控制性能能夠滿足要求的情況下,不要一味減小控制周期。這不僅對提高控制性能無益,同時由于對速度采樣的周期減少,而帶來額外的測量誤差。這測量噪聲在控制回路中會引起更大的控制噪聲。

公眾號留言
留言1:卓老師,針對現在公布的初步規則我有幾點疑問和建議,想和您交流一下:1.規則規定的十字路口超車標志,按您的回復來說并不是所有路口都存在。那如果在不允許抄近路的地方抄了,是否會罰時?罰時多久?
2.規則規定的車庫元素,其邊緣是全部路肩鋪蓋還是只貼上膠帶還是間隔鋪設?如果在停車時撞上了車庫邊緣或者超出其邊緣是否犯規?如果算犯規又怎么判罰?

3.按照比賽要求,雙車基本是一定會安裝交接裝置的。這些裝置安裝后車模的長寬高究竟如何計算?是按照初始狀態計算還是按照交接過程中運行的最大范圍計算?
4.初步規則中并沒有明確車模交接棒的位置。那么這個位置比賽中究竟是選手自己選還是賽道直接指定?如果指定的話是指定一個位置還是一片區域?
對于交接棒的位置老師我有個建議:可否在賽道設計時就指定一塊區域交接,然后在這塊區域上的某個位置再設置一個不帶起跑線的車庫。會車時要求后車從車庫駛出接球,前車傳球完后駛入該車庫,其他動作不變。這樣就解決了位置的問題,而且校內調試時多出的這個車庫并不會影響其他組別同學調試。
老師這就是我的疑問和建議,希望老師能夠給予解答,謝謝老師!最后插一句:老師別太熬夜了,注意身體,您這推文時間太讓人擔心了
回復:謝謝你通過提問規則所提出疑問可以幫助我們進一步完善規則。1)如果在沒有標示的十字路口車模沒有直接前行,則比賽失敗;2)對于車庫邊緣不一定鋪設路肩,只要車模外輪廓在車庫內即算停車成功;否則加罰一定的時間;3)對于雙車交接接力棒的裝置應該計算在車模總長度內;該長度應該在比賽前、后都不超過要求,這樣判罰較為簡便;4)車模交接區應該在比賽前同一指定,在完成交接過程在前后一個一米的區域便于判斷。你所提出的中間再設置一個停車庫的建議非常好。值得吸收在正式規則中。
留言2:老師,這個燈如果按照規則進行設定的話。那他的光線就太不均勻了(我們用的是以往的信標燈控制電路,電路面積比較小)。所以我想問一下老師,今年的比賽信標燈電路會不會改成面積更大,但更扁的電路?

回復:為了和之前相互能夠兼容,今年的信標燈電路不會再增大了。
留言3:卓大大,現在再給您留言可能有點晚了,但是還是想提一些建議。就是不知室內能否保留純電磁組給節能。大大可能不知道,對于節能來說硬件的糾錯周期是很長的,光是把平衡調出來就要改好幾版車。因為我們不能像三輪組一樣加配重條來調機械零點,就只能做一版車測一測中心,然后改一版試試(因為我們的車要盡可能輕)。
所以留給軟件真正上賽道調試的時間其實不多,像我們學校去年的節能組西部賽前只有一個星期的上賽道調試時間。本身調平衡已經不易(主要在于硬件方面想要做到最優),如果再加上調攝像頭,那就有點太極限了。

我們組三個人雖然都是節能的萌新,但本身都有一年的競賽基礎,我相信大部分敢選節能的組別應該都和我們一樣,但是這項任務我們做起來也是相當頭疼,想到將來的極限操作,還是請大大能夠手下留情。
本文轉載自 TsinghuaJoking.
推薦閱讀:




