如摩爾定律所述,數十年來,集成電路的密度和性能迅猛增長。眾所周知,這種高速增長的趨勢總有一天會結束,人們只是不知道當這一刻來臨時,集成電路 的密度和性能到底能達到何種程度。隨著技術的發展,集成電路密度不斷增加,而柵氧化層寬度不斷減少,超大規模集成電路中常見的多種效應變得原來越重要并難 以控制。天線效應便是其中之一。在過去的二十年中,半導體技術得以迅速發展,催生出更小規格、更高封裝密度、更高速電路、更低功耗的產品。本文將討論天線 效應以及減少天線效應的解決方案。
天線效應
天線效應或等離子導致柵氧損傷是指:在MOS集成電路生產過程中,一種可潛在影響產品產量和可靠性的效應。
目前,平版印刷工藝采用“等離子刻蝕”法(或“干法刻蝕”)制造集成電路。等離子是一種用于刻蝕的離子化/活性氣體。它可進行超級模式控制(更鋒利邊 緣/更少咬邊),并實現多種在傳統刻蝕中無法實現的化學反應。但凡事都有兩面性,它還帶來一些副作用,其中之一就是充電損傷。
等離子充電損傷是指在等離子處理過程中,MOSFET 中產生的柵氧化層的非預期高場應力。在等離子刻蝕過程中,大量電荷聚集在多晶硅和金屬表面。通過電容耦合,在柵氧化層中會形成較大電場,導致產生可損傷氧 化層并改變設備閥值電壓(VT)的應力。如下圖所示,被聚集的靜電荷被傳輸到柵極中,通過柵氧化層 ,被電流隧道中和。

圖1:等離子刻蝕過程中的天線效應。
顯而易見,暴露在等離子面前的導體面積非常重要,它決定靜電荷聚集率和隧穿電流的大小 。這就是所謂的“天線效應”。柵極下的導體與氧化層的面積比就是天線比率。一般來講,天線比率可看做是一種電流倍增器,可放大柵氧化層隧穿電流的密度。對 于給定的天線比率來說,等粒子密度越高,隧穿電流越大。更高的隧穿電流意味著更高的損傷。
3種等離子制造過程
導體層模式刻蝕過程——累積電荷量與周長成正比。
灰化過程——累積電荷量與面積呈正比。
接觸刻蝕過程——累積電荷量與通過區域的面積成正比。
天線比率(AR)的傳統定義是指“天線”導體的面積與所相連的柵氧化層面積的比率。傳統理論認為,天線效應降低程度與天線比率成正比(每個金屬層的充電效果是相同的)。然而,人們發現天線比率并不取決于天線效應,還需要考慮布局問題。
[page]
布局對充電損傷的影響
充電損傷的程度是一個幾何函數,與極密柵線天線相關。但是由于刻蝕率的差異反映出的刻蝕延遲、等離子灰化和氧化沉積以及等離子誘導損傷(PID)的原因,使得充電損傷更容易受到電子屏蔽效應的影響。

圖2:布局對充電損傷的影響。
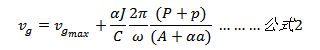
因此,天線效應的新模式需要考慮刻蝕時間的因素,如公式1。而通過插入二極管或橋(布線)控制天線效應,可以更好地預測天線效應,如公式2所示。
![]()
其中, Q指在刻蝕期間,向柵氧化層注入的總積累電荷。

A為導電層面積,等離子電流密度J下的電容容量為C
a為柵極面積,等離子電流密度J下的電容容量為a
α為電容比
P為天線電容器的周長
p為柵電容器的周長
ω為等離子電源的角頻率
根據基于PID的新模式,PID不取決于AR,但是天線電容與柵極電容的比例是PID的良好指標。PID取決于等離子電源的頻率,當氧化層《4nm,PID將對應力電流變得不敏感。在不增加J的情況下,增加柵極的介電常數,可增加PID。
[page]
減少天線效應的設計解決方案
下面幾種解決方案都可以用來降低天線效應。
1. 跳線法:通過插入跳線,斷開存在天線效應的天線并布線到上一層金屬層;直到最后的金屬層被刻蝕,所有被刻蝕的金屬才與柵相連。
2. 虛擬晶體管:添加額外柵會減少電容比;PFET比NFET更敏感;反向天線效應的問題。
3. 添加嵌入式保護二極管:將反向偏置二極管與晶體管中的柵相連接(在電路正常運行期間,二極管不會影響功能)。
4. 布局和布線后,插入二極管:僅將二極管連接到受到天線效應的金屬層,一個二極管可保護連接到相同輸出端口的所有輸入端口。
消除天線效應最重要的兩個方法便是跳線法和插入二極管。接下來,我們將詳細討論這兩種方法。跳線法是應對天線效應最有效的方法。插入二極管可解決其他天線問題。
跳線法
跳線是斷開存在天線效應的金屬層,通過通孔連接到其它金屬層,最后再回到當前層。如下圖所示,跳線法將很長的天線分成若干短天線,減小連接到柵輸入的電線面積,從而減少聚集電荷。

圖3:跳線法減少天線效應示意圖。
需要注意的是,跳線的放置位置十分重要。必須把跳線放置在可減少布線長度的位置。下圖可詳細說明。如下圖所示,在兩張圖片中,輸入和輸出引腳間都有同 樣長度的間距,只是跳線位置稍有不同。第一張圖的電路沒有受到天線效應的影響,而第二張圖中的電路卻受到了天線效應的影響。

圖4:在柵周圍插入跳線。
通過這個例子可以很明顯的看出,可使用跳線(又叫做“橋”)避免天線效應。跳線即斷開存在天線效應的金屬層,通過通孔將靜電荷傳送到更高一層的金屬 層,然后再回到當前層。在金屬化的過程中,除了在最高一層上,引腳與很小的電線面積相連接,避免該層以下的任何天線問題的發生。
[page]
插入二極管
如圖所示,在邏輯柵輸入引腳旁邊插入二極管,可為底層電路提供一個電荷泄放路徑,因此累積電荷就無法對晶體管柵構成威脅。使用二極管可為通過基板聚集在金屬層上的額外離子提供電荷泄放路徑。

圖5:在邏輯柵輸入周圍插入二極管。
然而,插入二極管會增加邏輯柵的輸入負載,從而增大電路單元面積并影響時序。此外,空間狹小的地方不適合插入二極管。

圖6:通過插入二極管或橋(布線)控制天線效應。
總結
在集成電路的制造過程中,由于金屬層暴露在外,導致上面聚集了許多靜電電荷。電荷的數量取決于很多原因,從天線的角度來說,電荷的數量取決于金屬的暴 露面積。金屬暴露的面積越大,聚集的電荷就越多。基板位于底部并與制造設器件連接,因此在柵氧化層產生一個電壓梯度。當這個梯度變得足夠大時,它將通過爆 炸性放電(即“閃電”)來釋放。這個問題對小型技術領域產生非常大的影響,因為泄電所帶來的損害很可能波及整個柵極。
由于表達天線比率方法并沒有統一,因此對于每項加工技術而言,天線規則檢查都不同。
可在需要受到保護的柵極旁邊插入反向偏置二極管,避免電路遭受天線效應。在芯片正常運行期間,反向偏置二極管可防止電子在電路與二極管間流動,并防止 電子流向芯片基板。然而再制造過程中,電路上的電荷會聚集在某一點上,在這一點上電壓會超過其承受限度。這一點上的電壓高于電路正常運行的電壓,但低于柵 極中可預期的靜電放電電壓。當這種情況發生時,二極管允許電子從電路中流向基板,因此緩解電路中累積的電荷。這是一個非破壞性過程,并且在制造過程中,電 路可通過二極管進行多次放電。
另一個避免遭受天線效應的方法是通過改變金屬層對天線進行“切割”(即“跳線法”)。當該金屬層被制成時,一側的大片金屬層不再電連接到柵極,因此不 會產生天線效應。當通過更高級金屬“橋”進行連接時,導體表面不再暴露在外,因此不會收集游離電荷,從而避免天線效應。
相關閱讀:
經驗分享:檢修集成電路時的五種拆卸方法
http://m.sz-bosch.com/cp-art/80021753
混合集成電路設計中應注意的問題和采取的具體措施(一)
http://m.sz-bosch.com/emc-art/80020412
混合集成電路設計中應注意的問題和采取的具體措施(二)
http://m.sz-bosch.com/emc-art/80020413




