中心議題:
- 基于RFID技術的人機互動定位系統原理和功能
- 結合RFID 定位技術的人機互動游戲應用方案
解決方案:
- 人機互動的游戲部分設計
- 輔助人機互動的區域定位部分
本文基于博物館的實際應用環境, 結合RFID 定位技術設計了一種人機互動的定位系統, 主要包括人機互動的游戲部分和輔助人機互動的區域定位部分。同時提出了一種結合RFID 定位技術的人機互動游戲應用方案, 并將該方案成功應用到博物館中。
1 系統原理和功能
1.1 系統原理
RFID 是一種利用射頻信號自動識別目標對象并獲取相關信息的技術。RFID 技術可以分為有源系列和無源系列。有源和無源RFID 的性能對比如表1 所示。

表1 有源和無源RFID 對比
由表1 可知, 有源RFID 具有更長的識別距離和更強的移動追蹤能力。本文需要對博物館中人員進行室內定位追蹤, 故采用有源RFID 設備。
系統主要包括三個部分: 標簽、讀寫器和信息處理系統。標簽和讀卡器構成RFID 網絡, 感知游客的各種情景信息,并遠程傳輸給信息處理系統集中處理。
博物館的場館簡易平面分布圖如圖1 所示。

RFID 的博物館人機互動定位系統主要包含人機互動的游戲部分和人員區域定位部分。人機互動的游戲部分主要利用圖1 中互動游戲場館內編號為a 、b 、c 的讀寫器實現室內精確的二維定位, 便于與游戲地圖進行比較, 從而完成移動人員的定位與追蹤。人員區域定位部分主要利用圖1 中場館通道間的讀寫器(編號為0 、1 、2、3、4 、5 、6) 實現, 游客在通過場館通道時, 讀寫器會自動讀取游客門票中的標簽信息,完成區域定位的功能。
標簽的ID 號是唯一的, 用于游客身份的識別。讀寫器接收到的數據包含有標簽ID 號信息、數據發送時刻信息等,PC 上位機接收到的數據包含有源標簽ID 號信息、數據發送時刻信息和轉發數據包的讀寫器編號信息等,PC 上位機集中處理這些由讀卡器轉發而來的數據包。系統原理框圖如圖2 所示。

[page]
1.2 系統功能
1.2.1 游戲場館內人員移動軌跡的追蹤
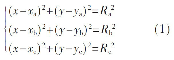
如圖3 所示, 在游戲場館C 區內, 設編號分別為a 、b 、c 的三個有源讀寫器的位置為(xa,ya) , (xb,yb) , (xc,yc) ,游客的位置坐標(x,y), 三個讀卡器到游客的距離分別為Ra、Rb、Rc, 由時間信息定位方法(TOA) 可得式(1) , 即可求解游客的位置坐標(x,y)。


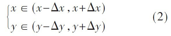
由于電磁波信號在室內傳播呈現多徑效應干擾衰弱與遮蔽效應, 預估的傳播距離將產生誤差, 所以定位的位置不會交于一點, 而是一定面積大小的區域。
為了不失一般性以及方便定位需要, 可設游客的位置坐標落在由點(x-△x ,y-△y) 、(x-△x ,y+△y) 、(x+△x ,y -△y) 和(x +△x ,y +△y) 構成的長方形區域內, 其中長方形的長、寬分別為△x、△y, 即游客的位置坐標(x,y) 滿足式(2)。

如某游客進行人機互動游戲時,設其初始位置為Ini,目標位置為Des , 游戲地圖由小長方形區域組成, 如圖3中灰色區域所示, 游客根據灰色的游戲地圖進行移動,與此同時, 系統實時地將解算出的游客位置與游戲設定的地圖相匹配, 進而完成互動游戲。
1.2.2 游客的實時區域定位
當游客在圖1 中入口處的0 號讀寫器刷卡后, 即可授權進入博物館參觀, 游客門票中的標簽ID 號信息被送往PC 上位機實時處理, 建立游客文檔INFO.游客文檔包括進入各場館的時間、離開各場館的時間、在各場館參觀的時間、當前所在的場館區域及游客頭像等信息,INFO 的結構體表達式如下:

[page]
其中結構TOURTIME 定義為:

在游客通過場館間的通道時, 讀寫器會自動識別游客門票中的標簽信息, 實時判斷游客進入某場館( 或離開某場館) , 同步更新游客文檔信息INFO。
2 系統設計和實現
2.1 系統硬件
硬件設備采用了RFID 組件, 主要包括PC、有源標簽、有源讀寫器、攝像頭以及相關設備連接線等。博物館的環境比較復雜, 繁多的多媒體設備帶來的中低頻干擾較大, 為了適應博物館這種獨特的環境, 需要采用微波段的RFID 設備。現階段的微波段RFID 主要集中在工作頻率為2.4 GHz~5.8 GHz , 其中以2.4 GHz 有源RFID 系統較為成熟。博物館采用的RFID 各設備型號如表2所示。

表2 RFID 硬件設備
2.2 系統軟件
RFID 系統軟件采用了Delphi7、MYSQL 和ODBC 等進行人機界面開發。軟件系統主要可劃分為游客INFO 文檔的建立、區域定位、游戲場館內人員移動軌跡的追蹤。
2.2.1 文檔的建立
PC 上位機根據安裝在入口處的0 號讀寫器讀取的數據信息, 實時存儲刷卡人門票中的標簽ID 號信息,實時構建一個以ID 號為標識的信息文檔INFO, 并同步截取刷卡人的照片并保存到對應的文檔下, 具體流程如圖4 所示。

2.2.2 區域定位
PC 上位機根據0 ~6 號讀寫器提供的數據包中的讀寫器編號來判斷游客即將進入的場館區域; 根據標簽ID 號信息來區分游客;根據數據發送時刻來記錄游客在各場館的參觀時間, 并將這些信息實時更新到游客的INFO 文檔中, 具體流程如圖5 所示。

[page]
2.2.3 游戲場館C 區內人員移動軌跡的追蹤
游戲場館C 區編號為a、b、c 的讀寫器可以完成C 區內人員移動追蹤。游戲軌跡地圖由一組二維坐標構成, 設i 時刻的游戲地圖為map [i] ,游客的二維坐標為pos[i].互動游戲開始后, 將游客坐標pos[i]與游戲地圖map[i]相比較。
如果在各個時刻兩者都相一致, 則根據從信息包中提取出來的ID 號查找數據庫, 從該ID 號碼對應的信息文檔提取照片, 將照片保存到指定的(winner ) 文檔路徑下, 指示該游客為人機互動游戲的勝利者并返回。
如果某一時刻游客的坐標pos[i] 與游戲地圖map [i]不相一致, 則返回并指示游客游戲失敗。人機互動游戲的數據處理具體流程如圖6 所示。

游戲地圖可以根據不同的需要來設定游戲軌跡的長度、難度以及布置障礙物等, 豐富游戲場景, 同時也可以設置多人模式進行人機互動游戲。
3 系統測試結果
3.1 游戲場館內的定位誤差測試
游戲場館C 區為14 m×20 m 的長方形區域, 測試長方形游戲場館C 區內每個點的坐標位置, 并與實際標準位置做比較, 所得的誤差曲線如圖7 所示。所以可將式(2) 中的△x、△y 設置為△x=△y=0.8 m, 即地圖的小區域為0.8 m×0.8 m 的正方形區域, 這樣足可以保證對人員移動軌跡追蹤的準確度。

3.2 游客的INFO 信息測試
采用上述硬件設備和相應開發軟件進行系統開發,5 位游客分別選取了5 張有源卡(ID 號分別為0x33、0x62、0x76、0x0F、0x58)進行系統測試,部分系統測試結果如下:
建立的以ID 號標識的游客文檔如圖8 所示。

[page]
ID=0x33 的游客INFO 詳細信息, 如圖9 所示。由圖可知ID=0x33 的游客在A 場館內參觀了20 min, 在B 場館參觀了27 min , 當前所在位置為C 場館, 還沒有進入D場館。

3.3 人機互動游戲的測試
上述5 位游客參與人機互動游戲, 其中ID 號為0x62 、0x0F 的兩位游客最終完成了互動游戲, 其他3 位游客游戲失敗, 系統測試結果如圖10 所示。

根據上述互動游戲結果圖中的ID 號, 提出頭像照片, 保存到(winner)文檔路徑下, 并顯示互動游戲勝利者的照片, 同時指示為互動游戲的勝利者, 如圖11所示。

4 結論
本文提出了一種基于RFID 室內定位技術的人機互動游戲方案, 利用RFID 定位技術實現對游客移動軌跡的追蹤, 并將其應用于游戲互動的識別。本文提出的設計已成功應用于福建某數字博物館, 在博物館的控制中心可以通過人機互動界面查看各個場館內的游客流量、游客當前所在場館、在各個場館的參觀時間及游客參與人機互動游戲的情況, 同時該系統還可以連接到地區的物聯示范網, 提高經濟效益, 大大節約成本。
基于RFID 的數字博物館為游客提供了更加自由和人性化服務的同時, 也提高了管理人員的工作效率。對博物館緊急事故的處理帶來了便利, 保證了游客的人身安全, 為博物館帶來更多的經濟效益, 推動RFID產業快速發展。





