- 三種最常見的天線介紹
- 介紹選擇天線時必須要考慮的幾大參數
- 對占板空間受限的應用,芯片天線是好的選擇,尤其是對1GHz 以下頻率的應用
- 鞭狀天線的性能最好,四分之一波長的天線就可提供一款高效的解決方案
天線是RF系統中的一個重要組件,并且對性能有著重大的影響。高性能、小尺寸以及低成本是許多RF應用最常見的要求。為了滿足這些要求,實施一個適當的天線并概括描述其性能特點是非常重要的。本文描述了典型的天線類型并闡述了選擇天線時應該考試的重要參數。
天線的類型
在選擇天線時,天線的尺寸、成本以及性能是最重要的考慮因素。對于短距離無線設備而言,三種最常見的天線為PCB天線、芯片天線以及鞭形天線。這三種天線的優缺點如表1所示。

a.PCB天線
設計一款PCB 天線并不是一件簡單的事情,因為還需要一個仿真工具才能得到滿意的解決方案。除了要提供一種最適宜的設計之外,配置這樣一個能進行精確仿真的工具也是一項困難且耗時的工作。
b.芯片天線
對于天線而言,如果板級空間非常有限,那么芯片天線可以說是一個不錯的解決方案。這種類型的天線可支持小解決方案尺寸(即使是在1GHz頻率以下)。與PCB天線相比,這種天線的缺點在于該解決方案會增加材料和貼裝成本。芯片天線的一般成本介于0.10美元和1.00美元之間。即使一些芯片天線廠商聲稱說這種天線可與某種50 Ω阻抗匹配以適應頻帶,但通常還需要其他一些與之相匹配的組件。
c.鞭形天線
如果我們最注重的是性能,而不是外形尺寸和成本,那么帶有一個連接器的外部天線將是一個很好的解決方案。這些天線通常為單極天線,且擁有全向輻射模式,這就是說該天線在一個平面上各個方向的性能幾乎都是一樣的。鞭形天線應安裝在接地層上,以獲得最佳的性能。為了實現最大程度的節約,四分之一波長的天線就可提供一款高效的解決方案。

天線參數
在選擇天線時,一些需要考慮的最重要的因素包括:輻射模式、天線效率以及天線帶寬。
a.輻射模式和增益
圖2顯示了在PCB平面中,PCB天線的輻射模式將如何隨方向不同而變化。當解讀這樣一個輻射模式變化圖時,了解幾個天線參數是非常重要的。除了該輻射模式變化圖以外,將輻射模式與天線的配置相聯系也是很重要的。

輻射模式通常在三個互成直角的平面XY、XZ和YZ上測試。雖然可以進行全3D圖形測量,但由于這是一項耗時的工作且需要昂貴的設備,因此一般不這么做。定義這三個平面的另一種方法是使用一個球形坐標系統。這三個平面將由θ=90°,Φ =0°和Φ =90°來定義。圖3顯示了如何將球形符號與這三個平面聯系在一起。

如果沒有給出有關如何將輻射模式圖上的輻射方向與天線的配置聯系起來的信息,那么0°為X方向,XY平面上角度朝Y方向趨增。就XZ平面而言,0°位于Z方向,同時角度朝X方向趨增。對YZ平面來說,0°位于Z方向,角度朝Y方向趨增。增益或參考電平通常是指全向輻射天線,其為一種各方向均為相同輻射功率的理想天線。當全向天線被用作參考時,增益以dBi單位,或被規定為等效全向輻射功率(EIRP)。圖2中的外圓相當于5.6dBi,左下方的4dB/div符號表示對所有漸漸增多的小圓來說發射級別降低了4dB。相比全向天線,PCB天線在0°方向會有一個5.6dB高級別的輻射。
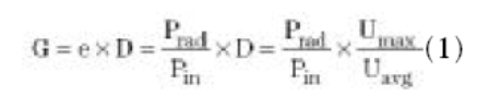
如式1所示,天線增益G被定義為最大輻射強度同平均輻射強度乘以天線效率的比。

其中,Umax為最大輻射強度,Uavg為平均強度,這兩個值的比被稱為方向性D。天線元件的電阻損耗和天線饋電點上的反射共同決定了效率e,其就是Prad除以輸入功率Pin得出的輻射功率。高增益并不必然意味著天線擁有高性能。通常,移動系統要求一個全向輻射模式,這樣其性能才會在所有天線方向上均大概一致。對于接收機和發送器等具有固定位置的應用而言,當天線指向其他高增益輻射方向時可以獲得更高的性能。
為了精確地測量天線輻射方向,只對被測設備的直達波進行測量并避免影響測量結果的反射波非常重要。為了最少化拾取反射能量,通常在無回音室或天線測試場進行這些測量。另一個要求是,在天線遠聲場測量的信號必須為平面波。如式2所示,遠聲場距離Rf由波長λ和最大天線尺寸DIM決定。由于無回音室的空間有限,因此通常在室外天線測試場對一些大型、低頻率天線進行測試。

b.偏振
偏振是對電場方向的描述。所有在自由空間中傳播的電磁波都具有與傳播方向垂直的電場和磁場。在考慮偏振的情況下,通常會對電場向量進行描述,而忽略磁場,因為其同電場正交并成比例關系。為了獲得最佳性能,接收和發射天線都應該具有相同的偏振。實際上,短距離應用中的大多數天線都會在多個方向產生偏振。由于室內設備承受了許多反射,因此偏振不像一些室外工作設備那么重要。
c.帶寬和阻抗匹配
確定天線帶寬的兩種常見方法是:1)在相關頻帶上調節載波的同時對輻射功率進行測量;2)使用網絡分析儀對天線饋電點的反射進行測量。圖4顯示了第一種方法,其對一個2.4GHz 天線的輻射功率進行測量,這種天線在2.4GHz頻帶上具有接近2dB的輸出功率變化,同時還具有接近于這一頻帶中心的最大輻射。這種測量方法是通過對2.3~2.8GHz的連續波信號進行調節來完成的。這類方法應該在一個無回音室中進行,以獲得正確的絕對帶寬級別。然而,即使在沒有無回音室的情況下,這種方法也非常有用。

在普通實驗室環境中的測量可以得到一個相對結果,其表明天線在理想頻帶中間是否具有最佳性能。被用來進行這種測量的接收天線的性能特性將會對測量結果產生影響。因此,該天線在測量頻帶上具有大概相同的性能非常重要。這種預防措施有助于確保在測量頻帶上觀測到的性能相對變化是有效的。描述天線帶寬特性的第二種方法是對天線饋電點上的反射功率進行測量。斷開天線并使用一條同軸線纜將一臺網絡分析儀連接至天線便可以進行此類測量。天線的帶寬通常被定義為頻率范圍,該頻率下的反射低于-10dB,或者VSWR少于2。這就相當于在這一頻率范圍中僅有不到10%的有效功率被天線反射。
d.尺寸、成本和性能
理想的天線不但要非常小、零成本,而且還要擁有優異的性能。然而,現實生活中,在這些指標之間謀求一個折中是非常必要的。當尋求小型天線解決方案時,芯片天線是較好的替代方案。1GHz 以下頻率條件下時尤為如此,因為芯片天線允許使用比傳統PCB 天線更小型的解決方案。但芯片天線的主要缺點是較高的成本以及典型的窄帶性能。





