【導讀】電源是現代電子產品必不可缺的模塊,現今大多數的通用電源芯片都會提供如下圖所示的反饋引腳,便于客戶使用反饋電阻實現所需的輸出,簡化設計并節省調試時間。但是通用化也從根本上制約了轉換器的帶寬及瞬態響應能力。這種情況下,設計師可以通過使用前饋電容在一定程度上對此進行改善。
電源是現代電子產品必不可缺的模塊,現今大多數的通用電源芯片都會提供如下圖所示的反饋引腳,便于客戶使用反饋電阻實現所需的輸出,簡化設計并節省調試時間。但是通用化也從根本上制約了轉換器的帶寬及瞬態響應能力。這種情況下,設計師可以通過使用前饋電容在一定程度上對此進行改善。
本次對前饋補償進行基本介紹,以方便設計人員選取合適的前饋電容以達到更的產品性能。
前饋電容的影響
常見的可調電源電路如下圖所示。
*可調電源電路
A(s)為電源系統的開環增益,為方便討論我們假定A(s)里已經包含了輸出電容、負載等其他因素的影響。
上述電路在不使用前饋電容CF時的輸出電壓為
其中,β為反饋系數。其環路增益為
可見,通過調節分壓電阻雖然可以改變輸出電壓OUT,但同時也使得G(s)的帶寬變窄。
合理地使用前饋電容可以提升電源的帶寬及響應速度,此時環路增益為
由此可得,CF并不改變DC輸出,而是為系統引入了一對低頻零點fz和高頻極點fp。零點會使相位裕量增加,極點則惡化相位裕量,使零點與極點盡量遠離才能獲得更多的相位裕量。但CF引入的零極點對的距離在對數坐標里是固定的,因為
據此可確定,前饋電容在R1/R2越大時作用越明顯,在R1=0時不產生作用。而在R1/R2確定的場合,需要合理地選擇前饋電容CF。
前饋電容的選擇
為了兼顧系統的帶寬和相位裕量,通過以下步驟可以得到化的前饋電容容值
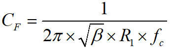
1. 在沒有前饋電容的情況下測得系統的穿越頻率fc;
2. 選擇的前饋電容引入的零點和極點,使其滿足
化簡為
免責聲明:本文為轉載文章,轉載此文目的在于傳遞更多信息,版權歸原作者所有。本文所用視頻、圖片、文字如涉及作品版權問題,請聯系小編進行處理。
推薦閱讀:




