【導讀】隨著高性能FPGAs和ASIC的快速普及,電源模塊設計也迎來了一定的挑戰 —— 應用需要更寬的無線網絡帶寬來驅動,而數據中心則需要更高的功率密度、更快的負載瞬態響應和更高效的工作效率。Xilinx Zynq UltraScale+ RFSoCs 即將多千兆采樣 RF 數據變換器和軟判決正向糾錯(SD-FEC)集成到 SoC 架構中。
新的系列產品配備了 ARM Cortex-A53 處理子系統,UltraScale+ 可編程邏輯以及 Zynq UltraScale+ 元器件中的最高信號處理帶寬,為無線,有線接入,測試和測量,早期預警/雷達和其他高性能RF應用提供了全面的RF信號鏈。然而,更高集成度的 Zynq UltraScale + RFSoC 給電源解決方案設計也帶來了挑戰。此外,RF 數據變換器的性能與其電源的噪聲水平緊密相關。MPS 電源模塊既具有很高的工作效率還能最大限度地減少電路板的使用面積。此應用說明概括了 Xilinx Zynq UltraScale+ RFSoC 電源設計解決方案。演示的 EVREF0102A 參考設計電源為 RF 數據變換器提供了超低噪聲電壓。
電源架構
圖 1中展示了 Zynq UltraScale+ RFSoC 的電源架構圖。正如圖中所示,RFSoC 需要30多個電壓軌。PL 域中的電壓軌用于RFSoC,PS域中的電壓軌用于內置ARM內核。合并電壓軌可以最大限度地減少變換器的使用數量。MPS電源模塊可以最大限度地降低 PCB 占板面積,簡化電源設計。

圖 1. MPS 為 Zynq UltraScale+ RFSoC 設計的電源解決方案
每個電壓軌的電流規格取決于在 RFSoC 上運行的產品和具體應用/程序。 表 1 列出了 Zynq UltraScale+ RFSoC 系列產品每根電壓軌的典型電流要求。建議使用 Xilinx 電源評估 (XPE) 工具 來評估精確的電流要求以便優化電源解決方案。除了電壓和電流規格,Xilinx FPGA 電壓軌的供電電源必須符合以下要求:
● 穩態下所有電壓軌(除了模擬電壓軌之外)的輸出電壓紋波必須低小于10mV。
● 所有電壓軌的啟動必須為單調上升。
● 在電流上升速率為100A/μs,負載瞬態為 25% 時,核心電壓軌(VCCINT) 的輸出電壓偏差必須小于 +- 3%。
● 供電電源的上下電時序必須遵循 Xilinx 定義的特定時序。

*支持高達 6V 的輸入電壓, **支持 12V 輸入電壓。點擊查看整套分立解決方案。
表 1. MPS 設計用于 Xilinx Zynq UltraScale+FSoC 的電源模塊解決方案
使用電源模塊優化電源解決方案
MPS 電源模塊提供了高度集成的高效電源解決方案。圖 2 展示了 MPS 電源模塊的典型結構,它在單個封裝內集成了 MPS 專利單片 IC、電感和選定的無源元件。采用 Mesh-connect 封裝技術,將器件貼裝在引線框架上可以最大限度地減少功率 IC/電感與 PCB 板之間的熱阻。單片 IC 將功率 FET、控制電路和驅動集成在一個單獨的硅片中。單片技術可以最大限度地減少驅動電路和功率 FET 柵極之間的寄生電阻。從而能最大限度地減少開關損耗。
表 1顯示了 MPS 為 Xilinx Zynq UltraScale+FSoC 設計的電源模塊解決方案。備注,MPS同時也提供分立式電源解決方案。

圖 2. MPS 電源模塊典型結構
圖. 3 演示了用于 Xilinx Zynq UltraScale+ RFSoC的參考設計板 (不含 RF 數據變換器電壓軌)。參考設計板使用了 5 款領先的電源模塊。 MPM3695-25 是一款 16V,20A 電源模塊。核心電壓軌采用 2 個并聯的 MPM3695-25s 以提供高達 50A 的峰值電流。單個 MPM3695-25 為電壓軌 2 提供高達 25A 的峰值電流。MPM3695-10 是一款 14V,7A 超薄電源模塊。 MPM3632C是一款 18V,3A 強制連續導通模式(CCM)電源模塊。

圖 3. Zynq UltraScale+RFSoC 參考設計板

圖 4.上下電時序
MPM3606A是一款 21V, 0.6A 電源模塊。同一系列還提供了兼容引腳的 1A,2A 和 3A 電源模塊,讓電源解決方案設計更加靈活。 經充分驗證,參考設計的性能符合 Xilinx 要求。 圖 4 顯示了上下電時序波形圖。
集成電感的 MPM3695 先進電源模塊系列為 FPGAs 和 ASICs 供電方案提供了通用的解決方案。MPM3695 系列產品可通過堆疊多個 MPM3695-25s 或 MPM3695-10s 擴展輸出電流。相比分立式負載點(POL)解決方案,MPM3695 系列產品可以提供高達 60% 的高功率密度,不僅簡化了 PCB 的布局和功率級設計,還能最大限度地減少外部元器件以及電源變換器專有知識的使用,大大優化了補償網絡設計。通過采用單片電源IC結構和定制集成電感設計,同時結合領先的封裝技術,MPM3695 系列電源模塊的封裝尺寸比競爭者足足縮小了40%。
圖 5 和 6 分別展示了電流上升速率為 100μA/s,負載瞬態為 25% 時的負載瞬態波形圖以及滿載下的輸出電壓波形圖。如圖所示,負載瞬態期間的輸出電壓偏差小于 ± 3%,并且在穩態下輸出電壓紋波小于 10mV。

圖 5. 核心電壓軌的負載瞬態紋波。

圖 6. 核心電壓軌的輸出電壓紋波。
專為賽靈思 ZCU1275 設計平臺開發的模擬電源模塊
Xilinx Ultrascale+ RFSoC 內置了一個高速模數轉換器(ADC)和一個數模轉換器(DAC),要求超低的輸出噪聲。與傳統低壓差(LDO)穩壓器相比,開關電源(SMPS)的高效優勢顯而易見。但也因其開關特性,開關電源在開關頻率和諧波處會產生噪聲。MPS電源模塊為兩個最敏感的ADC和DAC電源采用了兩級CLC無源濾波器,最大限度地降低了輸出電壓噪音。EVREF0102A是專為賽靈思ZCU1275 Zynq UltraScale+RFSOC 設計平臺所開發的模擬電源模塊。圖 7 演示了EVREF0102電源模塊。

圖 7. EVRF0102 超低噪音電源模塊
針對所有敏感型 RF 數據變換器電壓軌,其輸出電壓均小于1mV。EVREF0102A采用了五個帶集成電感器的高效降壓開關電源模塊。 MPM3833C是一款6V、3A、超小型降壓電源模塊, MPM 3683-7是一款16V、8A電源模塊。 兩款電源模塊都具有集成保護功能,包括OCP、OVP、UVP和OTP。與傳統的LDO解決方案相比,EVREF0102A的效率提高了80%。EVREF0102A模擬電源模塊通過采用強制連續導通工作模式(CCM)和后無源濾波器,實現了超低噪聲水平,可以滿足Xilinx對高速數模變換器規范。其中,兩個最敏感的ADC和DAC電源使用CLC無源濾波器,其他電源使用電容濾波器。請見附錄參考設計。
圖 8-11 為傳統LDO解決方案與MPS電源模塊對照圖。在賽靈思實驗室里,ZCU1275開發板收集到了實驗結果。如圖中所示,MPS電源模塊與傳統LDO解決方案的噪音水平相當。

結論
用于Xilinx FPGAs的MPS電源模塊解決方案具有高效率、全集成和尺寸小特性??蓴U展電源模塊為核心電壓軌提供了通用解決方案。對于敏感型的RF數據變換器電壓軌來說,采用電源模塊代替傳統LDO可以顯著提高效率。MPS提供的2個參考設計板性能已充分驗證。本應用說明的附錄中概述了用于RF數據變換器電壓軌的無源濾波器設計工藝,該濾波器可以最大限度地降低輸出電壓紋波。
附錄: 兩級濾波器設計
同步降壓變換器由輸入電容器CIN、兩個開關(S1和S2)及其體二極管、儲能電感(L)和輸出電容器(COUT)組成。當S1接通,S2斷開時,輸入源向功率電感(L)和負載提供電流。此時,電感電流上升。當S2接通而S1斷開時,電感器中存儲的能量被轉至輸出電容器和負載,導致電感器電流下降。降壓調節器的開關行為導致輸出電壓波動。應在輸出端放置一個輸出電容器(Cout),以便在穩態時平滑輸出電壓。輸出電容器通過為高頻電壓分量提供低阻抗路徑,將高頻紋波反射回接地,從而降低輸出電壓紋波。

圖 1: 低噪音濾波器設計
接著,假設Buck降壓變換器采用連續導通模式(CCM),以最大限度地降低輸出電壓紋波。L電感值也滿足電感器的電流紋波要求。其最小值可通過以下公式計算得出:
其中,VIN 和 VOUT 分別代表輸入和輸出電壓,D=VOUT/VIN 代表占空比, I_(L,p-p)代表電感的峰-峰電流紋波,fSW代表變換器的開關頻率。通常,峰-峰電感電流紋波可設置為輸出DC電流的20-40%。
輸出電容值應能確保其輸出紋波低于應用需要的峰-峰紋波值。對于單級電容濾波器,其最小輸出電壓紋波可達1~2 mV。
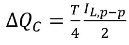
在穩態下的一個開關周期內,向電容器輸送的凈電荷為零。圖 1陰影區的電容電荷可通過以下公式計算得出:
其中T為開關切換周期。根據定義,給定周期內的電容電荷也可表示為:
公式(2)代入公式(3),得到輸出峰-峰電壓紋波(VOUTp-p)所需的最小電容為:
(4) 理想情況下,并聯更多的輸出電容可以降低對地的高頻阻抗,從而減小輸出紋波。而實際上,輸出電容器是橫放在印刷電路板上的。如果在印刷電路板上增加更多的輸出電容,會給并聯電路增加額外的寄生電感和交流電阻,增加輸出電容的效果會逐漸降低。
如圖 2所示的典型PCB布局,MPS電源模塊通過集成電感,可大大簡化電源轉換器設計。在MPM3833C的PCB布局中,為輸出功率路徑進行了大面積鋪銅,這能最大限度地降低功率損耗。輸出電容器也是沿著輸出電流路徑放置的。如圖所示,隨著放置在輸出平面上的電容器越來越多,附加電容器與電源模塊輸出引腳之間的距離也變得越來越大。因此,在離電源模塊較遠的輸出電容中,會產生更多的寄生電感。增加輸出電容的效果變得越來越差,最終遠端電容的高頻對地回路以寄生電感為主。

圖 2. MPM3833C電源模塊典型PCB布局
為演示回路寄生電感的影響,這里使用Simplis設計出了具有不同輸出電容的MPM3833C。并假設每個增加的輸出電容向回路引入0.5nH的寄生電感。圖 3展示了帶有一個22µF電容器的電源模塊輸出紋波??梢钥闯觯敵鲭娙萜鞯拇_有效地降低了輸出紋波:在5V輸入,1.2V 輸出和2A負載時,輸出紋波降至約為3mV。

圖3帶一個22µF輸出電容的MPM3833C所產生的輸出紋波
為了進一步降低輸出電壓紋波,可以在輸出端再增加一個22µF的輸出電容。由于新增的電容器必須放置在離電源模塊更遠的地方,因此新增電容器所引入的寄生電感為1nH。 圖 4 (a) 給出了仿真輸出電壓波形圖,其中輸出電壓紋波已降到2mV。與圖 3所示的波形圖相比,增加一個22μF輸出電容器可將輸出電壓紋波有效降至3mV,而再增加一個 22μF電容器的效果其實并不明顯。圖 4(b)顯示了多一個22μF電容器后(總共4x22μF)的輸出電壓紋波。最后一個22µF 電容器在其高頻對地回路中引入的寄生電感為1.5nH。如圖所示,與使用3x22µF的情況相比,多增加一個電容器后輸出紋波降低度小于5%。

圖4帶(a) 4x22uF和(b) 5x22uF輸出電容的MPM3833C所產生的輸出紋波
從圖3和圖4的演示可知,PCB上添加的電容器越多,PCB鋪銅/走線所產生的寄生電感就越多。最終,增加更多電容器的作用被回路中不斷增加的附加寄生電感所抵消。
第二級濾波器設計
通常,并聯輸出電容器能將輸出電壓紋波有效降低到最低1-2mV。要實現低于1mV的紋波,需要一個第二級輸出濾波器。圖5展示了第二寄濾波器的典型電路。第二級濾波器由一個濾波電感及其串聯電阻(DCR)、一個對地電容器支路和一個阻尼支路組成。濾波電感(Lf)在設計的高頻范圍內具有電阻,以熱量的形式耗散噪聲能量。該電感器與附加的并聯電容器結合形成低通LC濾波器網絡。

圖5. 帶并聯阻尼支路的兩級LC濾波器
合理設計的第二級濾波器會有效降低輸出電壓噪聲。針對工作頻率來選擇LC濾波器組件至關重要。設計的第一步是根據公式(4)選擇第一級輸出電容器。在第一極的設計中,典型的輸出電壓紋波一般為5mV至10mV。所以,通常選用10-22μF電容器就足夠了。為保證系統的穩定性,第一級的電容容量(COUT)必須小于第二級的旁路電容(C1)。
一旦確定了第一級電容器并給出了規定的輸出電壓紋波(在給定頻率下),第二級LC濾波器所需的衰減可確定為:
其中,V1,p--p 代表輸出電容器的峰-峰電壓紋波,V0,p-p 代表輸出電壓的峰-峰電壓(在第二級濾波器之后)。使用相量分析,LC濾波器增益的振幅可通過以下公式計算:
(6)阻尼支路(由一個大型電阻和電容串聯組成)的阻抗在開關頻率下比對地支路大得多。因此,在下面的分析中,圖 5 所示的濾波器可等效于一個二階RLC濾波器。濾波器的截止頻率為:
(7)通常,可以選擇電感值為0.22µH到1µH的電感器來實現所需的輸出紋波。此濾波電感的并聯阻抗會增加功耗并降低了輸出電壓的精度,因此應選擇DCR最小的電感。需要注意的是,隨著直流電流的增大,電感的磁芯材料會逐漸飽和,從而也會降低電感的電感值。
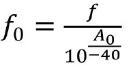
一旦選擇了濾波電感器,就可以從數據表中提取其DCR。第二級LC濾波器是一個二階濾波器,在截止頻率之后每十檔衰減40db。給定頻率下的衰減可根據以下公式估算出:
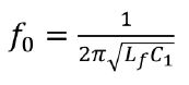
(8)根據公式(5)計算出的衰減,可使用以下公式計算出所需的截止頻率:
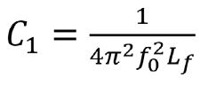
(9)然后,可計算出所需的對地支路的電容值(C1):
(10)由于低ESR和ESL,應使用陶瓷電容器作為旁路電容器。 需注意,在直流偏壓下,陶瓷電容器的電容會發生顯著降額。圖6給出了額定電壓為6.3V的Murata 0805陶瓷電容器的直流降額曲線。如圖所示,在滿額直流偏壓下,電容降到額定值的20%。旁路電容器應在額定直流偏壓下選擇,以便考慮降額值。

圖 6. DC偏置下的典型陶瓷電容降額曲線
阻尼
如果第二級LC濾波器的阻尼不合適,可能會出現諧振。濾波電感與對地支路之間的諧振會放大輸出紋波,在負載瞬態時還會產生不希望出現的振鈴。圖7 (a) 顯示了帶第二級LC濾波器的欠阻尼變換器系統的輸出電壓。最初,系統在穩態下運行。當t=200µs時,負載瞬態從1A變成2A,輸出電壓引起振鈴。圖7b(b)說明了過阻尼二級濾波器負載瞬態下的輸出電壓和電流。為避免在負載瞬態時產生振鈴,第二級LC濾波器諧振必須得到適當的抑制。在大多數設計中,第二級濾波器會被放置在控制回路之外,以避免控制回路不穩定。因此,阻尼必須使用無源元件(附加阻尼電阻)。


圖 7. (a)欠阻尼LC濾波器和(b)過阻尼LC濾波器瞬態響應
濾波電感通常包含與電感串聯的寄生直流電阻。此DCR向網絡提供阻尼。然而,為了能向串聯RLC電路提供足夠的阻尼,串聯電阻必須滿足
。大部分情況下,DCR無法獨自提供足夠的阻尼。為此,需在旁路電容處并聯一個RC阻尼網路,與串聯DCR電阻一起阻尼諧振電路。
。大部分情況下,DCR無法獨自提供足夠的阻尼。為此,需在旁路電容處并聯一個RC阻尼網路,與串聯DCR電阻一起阻尼諧振電路。免責聲明:本文為轉載文章,轉載此文目的在于傳遞更多信息,版權歸原作者所有。本文所用視頻、圖片、文字如涉及作品版權問題,請聯系小編進行處理。
推薦閱讀:



