【導讀】考慮到交流電的集膚效應,為了有效地利用導體材料和便于散熱,發電廠的大電流母線常做成槽形或菱形母線;另外,在高壓輸配電線路中,利用鋼芯鋁絞線代替鋁絞線,這樣既節省了鋁導線,又增加了導線的機械強度,這些都是利用了集膚效應這個原理。
1.集膚效應
1.1集膚效應的原理
圖1.1表示了集膚效應的產生過程。圖中給出的是載流導體縱向的剖面圖,當導體流過電流(如圖中箭頭方向)時,由右手螺旋法則可知,產生的感應磁動勢為逆時針方向,產生進入和離開剖面的磁力線。如果導體中的電流增加,則由于電磁感應效應,導體中產生如圖所示方向的渦流。由圖可知:渦流的方向加大了導體表面的電流,抵消了中心線電流,這樣作用的結果是電流向導體表面聚集,故稱為集膚效應。在此引進一個集膚深度〈skin depth〉的概念,此深度的電流密度大小恰好為表面電流密度大小的1/e倍:
一般用集膚深度Δ來表示集膚效應,其表達式為:

其中:γ為導體的電導率,μ為導體的磁導率,f為工作頻率。

圖1.1.集膚效應產生過程示意圖

圖1.2.高頻導體電路密度分布圖
高頻時的導體電流密度分布情形,大致如圖1.2所示,由表面向中心處的電流密度逐漸減小。
由上圖及式1.1可知,當頻率愈高時,臨界深度將會愈小,結果造成等效阻值上升。因此在高頻時,電阻大小隨著頻率而變的情形,就必須加以考慮進去。
1.2影響及應用
在高頻電路中可以采用空心導線代替實心導線。此外,為了削弱趨膚效應,在高頻電路中也往往使用多股相互絕緣細導線編織成束來代替同樣截面積的粗導線,這種多股線束稱為辮線。在工業應用方面,利用趨膚效應可以對金屬進行表面淬火。
考慮到交流電的集膚效應,為了有效地利用導體材料和便于散熱,發電廠的大電流母線常做成槽形或菱形母線;另外,在高壓輸配電線路中,利用鋼芯鋁絞線代替鋁絞線,這樣既節省了鋁導線,又增加了導線的機械強度,這些都是利用了集膚效應這個原理。
集膚效應是在訊號線里最基本的失真作用過程之一,也有可能是最容意被忽略誤解的。與一般訊號線的夸大宣傳所言,集膚效應并不會改變所有的高頻訊號,并且不會造成任何相關動能的損失。正好相反,集膚效應會因傳導體的不同成分,在傳遞高頻訊號時有不連貫的現象。同樣地,在陳舊的線束傳導體上,集膚效應助長訊號電流在多條線束上的交互跳動,對于聲音造成刺耳的記號。
2.鄰近效應
圖2.1表示了鄰近效應的產生過程。A、B兩導體流過相同方向的電流IA和IB,當電流按圖中箭頭方向突增時,導體A產生的突變磁通ΦA-B在導體B中產生渦流,使其下表面的電流增大,上表面的電流減少。同樣導體B產生的突變磁通ΦB-A在導體A中產生渦流,使其上表面的電流增大,下表面的電流減少。這個現象就是導體之間的鄰近效應。
當流過導體的電流相同,導體之間的距離一定時,如果導體之間的相對面積不同,鄰近效應使得導體有效截面面積不同。研究表明:導體的相對面積越大則導體有效截面越大,損耗相對較小。

圖2.1.臨近效應產生過程示意圖

圖2.2.臨近效應示意圖

圖2.3. 一軸對稱模型在頻率為20KHz時電流密度的分布圖
臨近效應與集膚效應是共存的。集膚效應是電流主要集中在導體表面附近,但是沿著導體圓周的電流分布還是均勻的。如果另一根載有反向交流電流的圓柱導體與其相鄰,其結果使電流不再對稱地分布在導體中,而是比較集中在兩導體相對的內側,形成這種分布的原因可以從電磁場的觀點來理解。電源能量主要通過兩線之間的空間以電磁波的形式傳送給負載,導線內部的電流密度分布與空間的電磁波分布密切相關,兩線相對內側處電磁波能量密度大,傳入導線的功率大,故電流密度也較大。如果兩導線載有相同方向的交變電流,則情況相反,在兩線相對外側處的電流密度大。
3.導體的邊緣效應
Dowall提出了計算兩繞組變壓器繞組交流電阻的方法,此方法先將圓導體轉化為方形,并作如下假設:
①磁場被假定為一維變量,垂直于導體的分量被忽略,并且總磁場強度在每個導體層中為常量;
②繞組被假定為無限長片狀導體的一部分,電流密度沿每層導體截面是常數,導體邊緣效應被忽略;
③假定磁芯不存在,線圈在整個磁芯寬度方向上均勻分布;
④流過繞組的電壓和電流均為正弦波,且線圈無開路。
后來的研究者們對此方法提出了一些修正。事實上,導體的邊緣效應對磁性元件的損耗和漏感等有較大的影響。繞組的邊緣效應會造成由上述假定所限定的一維繞組損耗計算方法所不能計算的額外損耗。在不同的工作頻率下,繞組之間距離不同,造成的交流電阻和漏感不同,對于一個指定的頻率,存在一個最佳的距離使得繞組交流電阻最小;繞組在磁芯窗口中的位置對繞組參數也有一定的影響;對于高頻變壓器,原副邊繞組的寬度與繞組損耗和能量的存儲也有很大關系:原副邊繞組寬度相同時高頻變壓器可以獲得最小的交流電阻和漏感。有關學者對這種邊緣效應進行了詳細的研究,使用二維有限元仿真軟件,通過對磁場分布和電流分布進行分析證明了繞組邊緣效應對繞組損耗和漏感的影響。
因為有限元分析方法對每個設計方案都要單獨求解,因此不能提供一般的結論,Soft Switching Technologies Corporation的Nasser H.Kutkut對傳統的一維繞組損耗計算方法進行了改進,通過在Dowell方法分析結果上添加一些修正因數,則可以將二維的邊緣效應考慮進去。使用二維有限元的方法分析繞組的邊緣效應損耗,通過研究幾何因素如繞組間距、位置等對磁場分布和電流分布的影響,進而得出幾何因素對繞組損耗的影響,得出了一系列的繞組優化原則。
在大電流時,銅帶的使用是比較常見的,但是銅帶使用時會出現較明顯的繞組邊緣效應,電流變成了不均勻分布的形式,可以想象二維場效應是比較嚴重的。
在分析銅帶繞組的二維邊緣效應之前,先做一定的假設:
①假定電流集中在一個趨膚深度內。當銅帶導體的厚度是當前工作頻率對應的趨膚深度的若干倍時,這一點是成立的。
②假定電流密度沿著銅帶導體表面是Js,則銅帶厚度方向上電流密度的分布滿足式(3.1):

n表示銅帶從表面深入到內部的深度,k為結構系數。
在高頻的情況下,趨膚深度非常小,導體表面的磁場接近線性磁場,這種情況下,導體表面的電流分布類似于在標量電勢作用下的導體表面的靜電荷分布,方形銅帶問題的分析就可以簡化為與之等截面積的橢圓狀銅帶導體的分析,方形銅帶導體和橢圓形銅帶導體的截面關系如圖3.1所示。

圖3.1.銅帶的橢圓近似模型分析
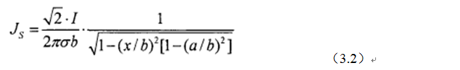
使用這種假設條件,則可以得到沿著銅帶的電流密度分布為式(3.2)所示:

由式(3.2)可以看出,當x=b或者x=-b時電流密度Js最大。
即銅帶在導體的邊緣處達到最大值,從磁場分布的角度來看,在銅帶導體的邊緣處由于邊緣效應,磁場垂直于導體的分量會很大,這樣就導致了這個磁場分量對銅帶導體的切割,銅帶繞組的渦流損耗會增大,同時導體邊緣處的強磁場會導致電流密度的顯著增大。電流分布是在邊緣處很強,中間較為平均,由于邊緣處受強磁場的吸引,顯示高的電流密度,這種電流密度在端部的重新分布增加了導體的交流電阻,其結果比一維分析的要大很多。通過優化銅帶邊緣的場分布,可以減小邊緣處的磁場垂直分量,這樣可以改善銅帶導體電流密度的分布,減小繞組高頻損耗。具體方法是在銅帶邊緣處使用高磁導率磁芯,減小磁路磁阻,這樣就會降低了銅帶端部的磁場,減小了端部的電流分布,繞組損耗將會降低,但是需要特殊的磁芯工藝。
4.繞組渦流損耗
對于高頻變壓器,因為存在原邊和副邊繞組,所以可以通過繞組交錯布置的方式小繞組的漏感和渦流損耗。在繞組交錯布置時,因為原、副邊繞組的磁勢是相反的,此會存在一個去磁效應,磁芯窗口中的磁勢會有一定的減小,漏磁場和高頻時漏磁場成的導體渦流損耗也會比較小。
對于高頻電感而言,它只有一個繞組,磁路中的氣隙磁勢和繞組的磁勢平衡,在窗口中沒有其它繞組的磁勢可以和電感繞組的磁勢相平衡產生去磁效應,因此電感磁芯窗口中的磁勢較大,磁場較強。
通過分析可以發現,電感中的磁通主要分為以下幾個部分:
①主磁路磁通。這部分磁通是流通在電感磁芯中的磁通,它不會在磁芯窗口中出現,因此它不會切割導體,也不會產生導體損耗。
②氣隙邊緣磁通,即擴散磁通。這部分磁通是由于氣隙磁勢而產生,它在磁芯窗口中出現,在高頻時會切割窗口中的導體造成渦流損耗。
③旁路磁通。這部分磁通不是由于氣隙磁勢而產生,而是由于相鄰磁芯柱之間的磁勢差而產生,當氣隙較小時,旁路磁通在窗口磁通中占較大比例。

圖4.1. 磁通分布圖
4.1旁路磁通損耗
旁路磁通通過磁芯窗口跨過相鄰的磁芯柱,在繞組上產生大量的渦流和損耗,氣隙的邊緣磁通是由于跨過氣隙的磁勢造成的,而旁路磁通是由于相鄰磁芯柱間的磁勢差異造成,沿著磁芯柱窗口的磁勢分布取決于載流繞組和氣隙的位置。沿著磁芯柱磁勢隨著載流繞組安匝增大而增加,隨著跨過氣隙而降低。通過做出如下一維假設,可以對旁路磁通作一定的分析。
1.假定磁芯磁導率是無窮的,磁場進入磁芯窗口是垂直于磁芯表面的。
2.繞組添滿整個磁芯窗口寬度,繞組邊緣效應很小,可忽略。
3.對圓導體進行一維等效,變成一片方導體,使用等效厚度和等效電導率,磁場在磁芯窗口中平行于導體表面,屬一維分布。
4.氣隙可認為很小,邊緣磁通很小,對旁路磁通影響很小,然而無論氣隙多么小,邊緣磁通都存在,因為氣隙磁勢是存在的。

圖4.1.1 Dowell繞組損耗分析模型
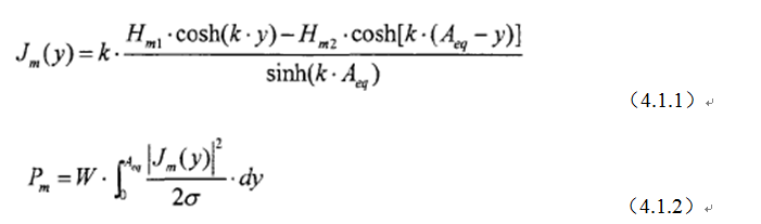
如圖4.1.1所示為磁芯窗口中的第m層銅帶繞組,其上、下表面的磁場強度分別Hm1和Hm2,則這層銅帶繞組的電流分布和繞組損耗可以通過Dowell方程得出,如式(4.1.1)所示:

式中
f是工作頻率,σeq是銅帶的等效電導率,μ是繞組的磁導率,Aeq和W是等效銅帶的厚度和寬度。總的旁路磁通繞組損耗可以通過求和得出,如式(2.1.3)所示:
通過用一維的方式分析旁路磁通可知:繞組的電流密度與沿導體的磁場強度密切相關,不同的氣隙位置導致不同的窗口磁勢,因此沿導體的磁場強度會有較大的不同,沿導體的電流密度分布也會有較大的不同。
旁路磁通的大小是與磁芯高度方向上的平均磁壓降密切相關的。當氣隙處于中間與兩端時,磁壓分布如下圖所示:

圖4.1.2 EI型(a)和EE(b)型磁芯電感窗口磁勢分布
圖a中的平均磁壓降為IN/2,b為IN/4。
假定旁路磁通與底邊平行,又由于B=dU*u0/w,可知,a中的磁密必定大于b中的磁密,磁場方向與線圈垂直。
下面是損耗與平均磁壓降的關系:

圖4.1.3 損耗隨平均磁壓降變化圖
由圖可看出磁壓降越低,損耗越低。
由此,如果我們可以將磁壓降降得更低,就可得到損耗更低的電感!

圖4.1.4 磁壓降與氣隙位置的關系
由于它將氣隙交錯布置,使磁壓降在高度方向上出現二次轉折,僅為IN/8。它的損耗比起氣隙居中者可再下降約50%。
因此我們可以知道在電感磁勢一定的情況下,EE磁芯窗口中的最大磁勢是EI磁芯的一半。磁芯窗口中的最大磁勢的減小,有助于減小旁路磁通,進而旁路磁通造成的導體渦流損耗也會減小,所以在選擇磁芯時應該引起注意,利用交錯氣隙可以減少磁芯窗口內的旁路磁通。
4.2擴散磁通損耗
濾波電感工作時輸入的電流波形是一個直流分量疊加一個開關頻率的紋波,因此在設計電感時為了在磁芯中瞬間存儲能量,磁路中需要有一個較大的磁勢,因此一般都需要添加氣隙。在磁路設計時,因為磁芯(比如鐵氧體)和磁絕緣物質(比如空氣)之間的磁導率比例系數大約為10^3,因此磁通在磁路中并非完全限制在磁芯中,氣隙的存在會使這部分散落在空氣中的磁通增加。
在含有氣隙的電感中,繞組的磁勢和氣隙的磁勢是平衡的,因為繞組的磁勢較大,所以氣隙的磁勢也較大,而且由于氣隙和磁芯的磁導率的差異相對較大,磁勢主要降落在氣隙上面。繞組磁勢和氣隙磁勢的相對位置的不同會導致不同的氣隙邊緣磁場分布。
高頻電感中氣隙的添加方式主要有以下幾種:
①采用只在中心柱中添加單氣隙的方式。這種方法在磁芯窗口中產生的邊緣磁通較大,高頻時邊緣磁通切割繞組導體,在導體上會產生很大的邊緣磁通損耗。由于氣隙磁勢和整個線圈的安匝數相同,因此單氣隙周圍的磁場會很強,磁芯窗口中的磁場的二維效應特別嚴重,尤其是氣隙附近。
②采用在三個磁芯柱上都添加氣隙的方式。在磁路氣隙長度一定的情況下,這種方法由于減小了氣隙的尺寸,即每個磁芯柱上氣隙長度是中柱單氣隙的一半,因此每個氣隙的磁勢是整個線圈安匝數的一半,氣隙磁勢的降低大大減小了氣隙的邊緣磁通,因此邊緣磁通在導體上造成的損耗會有較大減小,但是這種方式會造成較大的外部散漏磁場,這部分磁場雖然不會造成電感的額外渦流損耗,但是會對周圍器件產生一定的電磁干擾。
③采用分布式氣隙的方式,即將中柱的大氣隙分割成若干個小氣隙,而氣隙總長度不變的方式。這種方式會減小氣隙邊緣磁通,從而對減小電感的渦流損耗有益,但此種磁芯需要特殊加工。
④采用均勻分布式氣隙。即磁芯中柱使用低磁導率材料,相當于氣隙均勻分布在磁芯中,減小了氣隙邊緣磁通,但是這種方式磁芯需要特殊加工,低磁導率材料在高頻時磁芯損耗會比較大,但是這種方式可減小導體的渦流損耗。
圖4.2.1所示為三種不同的電感氣隙布置方式對邊緣磁通分布的影響。氣隙放置在中柱上時的磁通分布如圖4.2.1 (a)所示,等效氣隙放置在中柱和外側柱時的磁通分布如圖4.2.1 (b)所示,磁芯中柱用均勻分布氣隙磁芯代替時的磁通分布如圖4.2.1 (c)所示,由圖可知,4.2.1 (a)中邊緣磁場范圍較大,4.2.1 (b)中氣隙尺寸減小后,邊緣磁場范圍減小了一些,4.2.1 (c)中的邊緣磁場最小。在4.2.1 (c)中由于氣隙和繞組的長度基本相同,因此二者磁勢的空間分布的不平衡因素最小,使得這種情況下的氣隙邊緣磁場最弱,窗口磁場的分量基本上是平行于導體的一維分布,類似于變壓器中的漏磁場。
在導體中流過高頻電流時,氣隙邊緣磁場也是高頻交變的,因此它會在導體中產生很大的渦流損耗,用有限元方法對此分析非常方便。當采用4.2.1(a)中的氣隙分布時漏在空氣中的磁場較小;而4.2.1 (b)中的散落在空氣中的外部磁場較大,對外界電磁污染較大; 4.2.1 (c)中氣隙邊緣磁場和外部磁場都比較小,使用時應該根據實際要求折衷考慮。

圖4.2.1 氣隙處于的三種不同位置的電感
我們以氣隙至磁芯頂部的距離與磁芯中柱高度之比(hg/h)為變量,可得出氣隙在不同位置時電感器損耗變化圖如下:

圖4.2.1 損耗隨氣隙位置變化圖
由此圖可知,氣隙在中間時損耗最小,在兩端時損耗最大,差別可達100%。這也就是我們通常EE Core用得比EI Core多的一個原因。
擴散磁通與氣隙形狀有關,與位置關系不大,當然當它在兩端時由于磁路長度發生一定變化,還是有所變化的。
減小氣隙邊緣磁通的方法主要有以下幾種:
①通過使導體遠離氣隙,保持導體和氣隙之間有一定的距離來減小氣隙邊緣磁通的影響,但是磁芯窗口寬度是很有限的,這樣做會減小磁芯窗口的利用率。
②將繞組導體放置在磁芯窗口中一個固定的區域中,而這個區域邊緣磁通很小,這種方式同樣可以減小氣隙邊緣磁通造成的導體渦流損耗,但是這種方式增加了繞線的復雜性。
③采用分布式氣隙或均勻分布氣隙。因為在氣隙總長度不變的情況下,每個氣隙的尺寸得以減小,這種方式可以在很大程度上減小氣隙邊緣磁通,它附近導體的渦流損耗會有較大的改善,但是這種方式的磁芯需要特殊的加工,比較復雜。同時增加太多的小氣隙,對減少繞組的損耗不一定明顯。
磁芯和繞組參數同圖4.2.2(a)和表1中的三種方案。氣隙布置在3個磁芯柱上,每個磁芯柱上的氣隙總長為0.6mm,拆分成的小氣隙在磁柱上均勻分布,圖4.2.5為每個磁柱上6個分布小氣隙的示意圖。當電感繞組中通過幅值為1A,頻率為300kHz的正弦電流時,用Ansoft Maxwell 2D 電磁場有限元軟件得到單位長度的繞組損耗隨小氣隙個數的變化趨勢如圖4.2.6所示。

圖4.2.2 (a)銅箔繞組結構圖(b)漆包線繞組結構圖

圖4.2.3 漆包線繞組和銅箔繞組的磁通分布圖


圖4.2.4 繞組損耗隨氣隙間磁柱長度變化的關系圖

圖4.2.5 多氣隙結構圖

圖4.2.6 繞組損耗與分布氣隙個數的關系圖
對圖4.2.6所示的結果進行分析,剛開始增加氣隙的個數,能大大減少繞組的損耗。但氣隙的個數增加到6到7個氣隙以后,再增加氣隙的個數對繞組損耗影響不大。
在方案1中當磁柱上為一個集中氣隙時,氣隙長度為0.6mm,繞組距磁芯邊柱的距離為0.45mm,即繞組距邊柱為0.75個氣隙長度。當磁柱上為兩個小氣隙時,氣隙長度為0.3mm,繞組距邊柱為2個小氣隙的距離,從圖4.2.6可見此時增加氣隙能大大減少繞組的損耗。當磁柱上為4個氣隙時,小氣隙長度為0.15mm,繞組距邊柱為3個小氣隙長度,以后再增加氣隙的個數,繞組損耗的減少就不多了,當氣隙增加到6個時,小氣隙長度為0.1mm,繞組距邊柱為4.5個小氣隙長度,以后再增加氣隙的個數,繞組損耗的減少就不明顯了。這和繞組應避開氣隙3個氣隙長度的距離是一致的。因為再增加繞組避開氣隙的距離,氣隙附近的擴散磁通對繞組的損耗影響就較小了。根據上面的分析,當繞組距氣隙的距離增大時,所需的小氣隙個數應該減少。在方案2中繞組距氣隙的距離為0.65mm,用AnsoftMaxwell 2D 電磁場有限元軟件得到單位長度的繞組損耗如圖4.2.6所示。可見比方案1可用較少的氣隙個數。在方案3中繞組距氣隙的距離為0.85mm,用AnsoftMaxwell 2D 電磁場有限元軟件得到單位長度的繞組損耗如圖4.2.6所示,可見比方案2可用較少的氣隙個數。
根據前面的分析,為了減少繞組損耗,小氣隙的個數應增加到使繞組距氣隙的距離大于3個小氣隙。但沒有必要增加氣隙的個數使繞組距氣隙的距離大于5個小氣隙的距離,因為此時再增加氣隙個數對繞組損耗影響很小。
由以上分析可以得到以下結論:
1) 高頻磁件繞組的交叉換位技術能夠有效降低繞組的交流電阻和漏感;
2) 繞組層間距對交流電阻的影響與磁件的結構有關;
3) 采用分布氣隙可以有效降低氣隙擴散磁通的影響, 另外變換氣隙的位置及繞組相對氣隙的形狀, 也可以減小繞組的交流電阻。
4) 氣隙設在磁芯窗口的拐角處或其附近,使擴散磁通更容易深入到磁芯窗口內,易導致繞組損耗增加。分別由漆包線和銅箔構成的繞組,電感氣隙位置對磁芯窗口內旁路磁通的影響是不同的,最終導致對電感繞組損耗影響的不同。
5) 采用分布小氣隙代替集中的大氣隙時,當氣隙間的磁柱長度約為5個氣隙長度左右時,氣隙之間的影響較小。
采用較多的分布小氣隙代替集中氣隙時,小氣隙的個數應增加到使繞組距氣隙的距離大于3個小氣隙。但沒有必要增加氣隙的個數使繞組距氣隙的距離大于5個小氣隙,因為此時再增加氣隙個數對繞組損耗影響很小。
小結
對磁性元件的繞組進行合理設計, 能夠有效地提高磁性元件性能,但是磁性元件的設計是一個復雜的綜合過程, 包含非常多的內容, 需要整體、系統地考慮各種因素。
推薦閱讀:





