中心議題:
- LD驅動電源的電路結構及原理
- LC驅動電源電路的設計
解決方案:
- 基準電壓源電路的設計
- 恒流源電路的設計
- 脈沖控制電路的設計
LD(激光二極管)不僅具有一般激光器高單色性、高相干性、高方向性和準直性的特點,還具有尺寸小、重量輕、低電壓驅動、直接調制等特性,因而廣泛應用于國防、科研、醫療、光通信等領域。然而,由于LD是一種高功率密度并具有極高量子效率的器件,對于電沖擊的承受能力差,微小的電流波動將導致光功率輸出的極大變化和器件參數的變化,這些變化直接危及器件的安全使用,因而在實際應用中對驅動電源的性能和安全保護有著很高的要求。在驅動電源的設計過程中,同時考慮對LD進行安全有效保護,如防止浪涌沖擊,慢啟動等問題。
1 電路結構及原理
LD是依靠載流子直接注入而工作的,注入電流的穩定性對激光器的輸出有直接、明顯的影響,因此,LD驅動電源需要為LD提供一個紋波小,毛刺少的穩恒電流。該LD驅動電源包括4部分:基準電壓源,恒流源電路,脈沖控制電路,保護電路。結構框圖如圖1所示。

1.1 基準電壓源電路
基準電壓源電路構成如圖2所示,其作用是為恒流源電路提供一個高精度,低溫漂的電壓參考,同時,為電路中的集成電路(如光耦合器、運算放大器、反相器等)提供穩定工作電壓。

LM317是美國國家半導體公司的三端可調正穩壓器集成電路,輸出電壓范圍是1.2~37 V,負載電流最大為1.5 A,使用簡單。其工作過程如下:輸出電壓Vout通過R1、VQ1,對C2充電,開始時VQ1飽和導通,Vout最低(約1.5 V)。隨著C2上電壓的升高,VQ1逐漸退出飽和并趨于截止,Vout逐漸升高至額定電壓。改變R1、C2的常數可改變軟啟動的時間。改變可變電阻R2的值,可調整輸出電壓Vout的值。VD1用于關機后使C2上的電荷快速泄放。其輸出電壓為:
![]()
[page]
1.2 恒流源電路
為了實現高的電流穩定度,驅動電路大多采用負反饋的控制方法,恒流控制原理如圖3所示。穩流電路由基準電壓電路、電壓-電流轉換電路、恒流輸出電路和反饋電路組成。電路工作時,基準電壓經過適當放大后送入運放A1的同相端,運放A1控制VQ1基極電流的大小,從而獲得相應的輸出電流,輸出電流在取樣電阻R上產生取樣電壓,該取樣電壓經A2放大后作為反饋電壓反饋回電壓放大器A1的反相輸入端,并與同相輸入端的電壓進行比較,對輸出電壓進行調整,進而對VQ1基極的輸出電流進行調整,使整個閉環反饋系統處于動態的平衡中,以達到穩定輸出電流的目的。

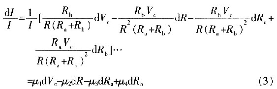
但在實際情況下電阻的溫度系數和基準電壓的溫度系數將影響輸出電流的穩定性。對式(2)進行全微分并化簡可得電流穩定度的表達式:
輸出電流I與設定的基準電壓Vc的關系可由負反饋原理得到:

式中,Vc為基準電壓,Ra、Rb為反饋網絡中的電阻,R為取樣電阻,在理想情況下R、Ra、Rb恒定不變。
由式(2)可知,輸出電流I與基準電壓Vc呈線性關系。


由于選取的取樣電阻R為歐姆級,而(Ra+Rb)為數十千歐姆級,因此有:μ2>μ1>μ3≈μ4,這說明影響輸出電流穩定度的主要因素是取樣電阻的溫度系數和電壓基準的穩定度。在本恒流源中,選用取樣電阻精度是0.1%,溫度系數是±2.5×10-5/℃,電壓基準的溫度系數小于1×10-6/℃。
[page]
1.3 脈沖控制電路
對許多LD應用來說,有時希望脈沖輸出,因為脈沖輸出時LD結發熱很小。LD工作在低占空比和短脈寬狀態時允許比CW電流電平高得多的脈沖電流電平,而且多數不需要制冷。
脈沖LD電源控制技術的關鍵在于對電流脈沖波形的控制,外控調制信號采用TTL方波,LD輸出跟隨控制信號以開關方式輸出。
根據上述設計思想設計脈沖控制接口電路,其原理圖如圖4所示。由非門單元,晶體管VQ3,光電耦合器組成。當脈沖為高電平時,非門輸出低電壓,使光電耦合器截止,光電耦合器輸出低電平,使晶體管VQ3截止,VQ3集電極輸出高電平使VQ1、VQ2導通,LD正常工作;反之,光電耦合器導通,使VQ3導通,VQ3集電極輸出低電平,使VQl、VQ2截止,LD不工作。在沒有外控脈沖控制信號時,接口懸空,非門輸入高電平,輸出低電壓,光電耦合器不工作,晶體管VQ3截止,VQ3集電極為高電平,使VQ1導通,保證LD的正常連續發光。

1.4 保護電路
考慮到LD的易損性,在穩流控制中保護電路的設計也是很重要的一個方面。本設計中,選用供電電壓波動較小,內部具有慢啟動、過流、過熱保護、尖峰電流限制功能的集成直流穩壓器,只需在LD兩端反向并聯一個普通二極管以防止反向過壓,同時并聯小容量電容防止回路電流毛刺損壞管芯。
2 結果與分析
表1是該電路驅動波長650 nm,功率200 mW的LD連續工作時,基準電壓與輸出電流的測試結果,其電壓-電流關系如圖5所示。


圖5結果表明基準電壓與輸出電流成正比例關系,通過調節基準電壓,可以改變LD的輸出功率,即LD輸出功率連續可調。
[page]
圖6顯示了該驅動電源輸出的脈沖波形。曲線Input為輸入控制脈沖信號,曲線Output為LD上電壓脈沖。結果表明:LD上電壓脈沖的上升和下降時間都很短,中間段電壓的穩定使輸出電流恒定,恒定的電流幅度保證了LD輸出功率的穩定。通過改變輸入脈沖的頻率、脈寬,可得到所需的LD激光脈沖信號。

3 結論
本文提出了可用于連續或脈沖輸出的半導體激光器驅動電源的設計方法,測試結果表明:1)驅動波長范圍為650~980 nm:2)輸出功率0~300 mW連續可調;3)連續或脈沖輸出可選。電源穩定、可靠、控制簡單,功率連續可調,可廣泛地用于對半導體激光驅動電源體積要求較小的應用中。




