- 基于脈沖序列控制技術的降壓型開關電源
- PT 工作原理及調制特性
- 利用脈沖控制器電路進行控制
- 采用斷續導電模式
- 設計基于PT 控制的DCM Buck 變換器
0 引言
近年來, 隨著電子技術和信息技術迅速發展,開關電源成為了電子工程領域應用和研究的熱點。與線性電源相比,開關電源在效率、功率密度、成本等方面顯示出了明顯的優勢,目前已經成為主要的DC-DC變換設備。對開關電源控制技術的研究也已成為電力電子技術領域中最為活躍的部分。
脈沖序列控制( PULSE T rain M, PT )是一種新型定頻、非線性的電源控制技術。該技術利用脈沖控制器,根據開關電源的工作狀態,按照一定規律通過高能量脈沖和低能量脈沖組成的脈沖序列對主電路進行控制。與傳統的PWM 控制不同, PT 控制系統沒有延遲環節,對變換器輸入端或輸出端出現的擾動具有較快的響應速度。
1 PT 工作原理及調制特性
1. 1 PT 控制的工作原理
PT 控制技術通過在兩級固定占空比的高、低能量脈沖中進行選擇, 控制開關管的導通和關斷,從而實現對變換器輸出電壓的調節。如果輸出電壓Uo 低于基準電壓Uref , 控制器將連續產生高能量脈沖PH 直到輸出電壓達到基準電壓值, 高能量脈沖的占空比為DH ; 如果輸出電壓Uo 高于基準電壓Uref , 控制器將連續產生低能量脈沖PL 以降低輸出電壓, 低能量脈沖的占空比為DL ( DL< DH ) .由于高能量脈沖導通時間比低能量脈沖導通時間長,因此高能量脈沖作用的周期內將有更多的能量傳遞至負載端。圖1( a) 和圖1( b) 分別顯示了PT 控制Buck 變換器結構圖和PT 控制原理示意圖。

圖1 PT 控制電路及原理示意圖
本文以PT 控制技術應用于斷續導電模式( DiscONt inuous Conduction Mode, DCM) 的Buck 變換器為例進行研究。采用斷續導電模式的優勢在于能夠實現開關管的零電流導通和二極管的零電流關斷。從而減少了開關損耗和電磁噪聲。高能量脈沖和低能量脈沖的占空比之間的比值k ( k= DH / DL ) 由變換器輸出電壓紋波和功率調節范圍折衷確定。
圖1( b) 顯示了PT 控制開關變換器的輸出電壓和電感電流波形。由于在MOSFET 開關管導通期間電感電流線性增長, Buck 變換器在高能量脈沖周期內開關管電流的平均值為:
則PH 控制的一個開關周期內從變換器輸入端獲得的能量為:
式中, T 為變換器的開關周期。
[page]
同理, 在一個低能量脈沖周期內從變換器輸入端獲得的能量為:
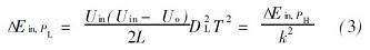
由式( 1) 和( 2) 可知: 低能量脈沖周期內變換器傳遞的能量為高能量脈沖周期的1/ k2 .由于高、低能量脈沖周期相同,故變換器的開關頻率是固定不變的。
1. 2 PT 控制的實現方式
本節設計一種簡單實用的脈沖序列控制器, 如圖2 所示。圖2 中時鐘信號CP( Clock Pulse) 由峰峰值為- 10 V到+ 10 V 的鋸齒波信號USAW 與電壓信號UGN D ( UGND = 0) 通過比較器Ccp產生; 變換器輸出電壓Uo 與基準電壓Uref 通過比較器C1 產生電壓信號Ue;觸發器D 在時鐘來臨時刻將電壓信號Ue 傳遞至輸出端Q, 并在下一時鐘來臨之前保持不變; 比較器C2 將D 觸發器的輸出信號和鋸齒波進行比較產生控制脈沖PH 或PL 實現對變換器的控制。
上述PT 控制器的工作過程為: 在開關周期的起始時刻, 時鐘信號CP 來臨, 若此時Uo > Uref , 則Ue 為高電平; 時鐘信號同時使觸發器D 觸發, 觸發器輸出信號Ud 在下一時鐘脈沖來臨前保持高電平不變; 鋸齒波信號USAW 與Ud 經過C2 比較, 輸出占空比為DL的低能量脈沖信號P L.若Uo< Uref , 則Ue 為低電平;觸發器輸出信號Ud 在下一時鐘脈沖來臨前保持低電平不變; 鋸齒波信號USAW 與Ud 比較產生占空比為DH的高能量脈沖信號PH .PT 控制器主要工作波形如圖2( b) 所示。


圖2 DCM DC-DC 變換器在PT控制模式下的控制電路原理圖和工作波形
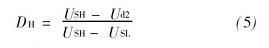
根據電源設計要求, 當輸出電壓Uo 大于基準電壓Uref 時, 控制脈沖為低能量脈沖, 占空比為DL:
式中, USH 為鋸齒波信號USAW 的最大值; USL 為鋸齒波信號USAW 的最小值。
將設計參數代入式( 3) 中, 得到低能量脈沖的占空比為DL= 0. 25
同理, 當輸出電壓Uo 小于基準電壓Uref 時, 控制脈沖為高能量脈沖的占空比:
2 仿真及實驗驗證
為了驗證PT 控制方法和模擬控制器的可行性,設計了一個基于PT 控制的DCM Buck 變換器, 其主要參數為: Uin = 15 V, Uo = 5 V, L = 100uH, C="470uF", R= 10Ω , f = 10 kHz.
[page]
圖3 顯示了PT 控制的DCM Buck 變換器工作仿真波形。在圖3 中可以看出, 當Uo 大于Uref 時, 控制脈沖Upt 為低能量脈沖, 占空比為DL= 0. 25; 當Uo 小于Uref 時, 控制脈沖Upt 為高能量脈沖, 占空比為DL =0. 5, 與設計參數相符合。此時的控制脈沖序列為PH -PL - PL .
圖3 PT控制DCM Buck變換器工作仿真波形圖
由圖3 可知, 輸出電壓Uo 的紋波隨著電感電流I L 的變化而變化??刂菩盘柮枯敵鲆粋€高能量脈沖,輸出電壓紋波值增大;輸出低能量脈沖時, 輸出電壓紋波值減小, 但是其值始終在5 V 上下范圍內波動。仿真結果與實驗設計要求一致。
從圖4( a) 中, 可以看出當MOSFET 管導通控制信號為高能量脈沖占空比為DH 時, 輸出電壓Uo 有小幅上升;而MOSFET 管導通控制信號為低能量脈沖占空比為DL 時, 輸出電壓Uo 有小幅下降, 與仿真波形圖一致。在圖4( b) 中,可觀察輸出電壓Uo 的紋波圖, 能夠更清楚地反映開關管導通控制信號與輸出電壓的變化關系。從圖中,可以更加明顯看到開關管導通控制信號的變化對輸出電壓的影響, 與仿真結果基本一致。

圖4 PT 控制DCM Buck 變換器控制脈沖信號與輸出電壓波形和輸出電壓紋波波形
3 結論
本文在介紹了一種新型控制技術--脈沖序列控制技術, 并將其應用于DCM 模式的降壓型Buck DC-DC 變換器,用模擬方式實現了開關變換器對輸出電壓的控制。本文介紹的理論不需要誤差計算等詳細的小信號或大信號分析, 且適用于各種開關變換器,仿真和實驗結果驗證了PT 控制方法的可行性。





