【導讀】衡量示波器測試系統質量的關鍵指標有很多,而“有效位數”對于了解整個測量系統至關重要。本文將討論示波器有效位ENOB,以及ENOB對實際信號測試的影響,并結合實際應用,給出EXCEL求解的方法。
前言

圖1 數字示波器系統結構圖
由圖1數字示波器系統結構可知,信號通過探頭系統進入示波器后,經過衰減器和前置放大器調理后進入ADC。衰減電路和放大器通過繼電器進行協同工作,在調整垂直分辨率時可快速切換使用。衡量ADC性能指標的參數有很多,比如采樣率、DNL、INL、信噪比、有效位等。本文主要討論ADC的有效位指標以及示波器系統的有效位。
ADC有效位定義

圖2 ADC采集的正弦波頻域分布
ADC的有效位指標是對正弦波信號進行FFT頻譜分析間接計算得到的。圖2是正弦波經過AD采樣再經過FFT變換得到的頻域分布圖,除了主要的正弦波分量外還存在很多噪聲、諧波和雜散信號。
ADC的有效位定義為:

式中:1.76為理想ADC的量化噪聲;
6.02為將log2轉化為log10的系數比。
示波器的有效位ENOB
ENOB參數被業界廣泛接受為是一種通用的判定A/D數模轉換、示波器系統或其它數字化系統性能優劣的指標。所有的數字化系統中都存在多種誤差,這些誤差會影響系統獲取的電壓與 “理想” 電壓存在偏差。對一個理想的示波器系統而言,在最大輸入帶寬范圍內,系統有效位數應和A/D的轉換分辨率相同。在現實中,所有的儀器都不可能是理想的,ENOB通常是低于其A/D轉換分辨率的。
由圖1數字示波器系統架構圖可知,前端采集電路及ADC采樣電路對ENOB有較大影響。實際工作時,偏置誤差、非線性誤差、增益誤差、隨機噪聲以及ADC交織引起的噪聲都會影響ENOB。

圖3 示波器ENOB曲線
ENOB對實際信號測量的影響

圖4 兩臺示波器測量同一信號
● 示波器的ENOB指標好,時間誤差、頻率雜散(通常由拼接誤差引起)都比較小,同時寬帶噪聲也比較低;
● ENOB沒有考慮相位不一致和頻響失真等;
理想情況下所有示波器都具有平坦的相位和頻響曲線以及相同的滾降方式。但事實上一般在示波器指標手冊里都找不到相位和頻響曲線,同樣ENOB也沒有考慮頻響平坦度或相位的不一致性。圖4顯示了一個輸入信號在兩臺不同的示波器上的測量結果。兩臺示波器的ENOB是相同的,但示波器1顯示的波形更加接近真實的輸入信號,而示波器2顯示的波形就失真比較大。
● ENOB沒有考慮到示波器可能引入的偏置誤差。
兩臺有相同ENOB的示波器可能顯示的波形形狀完全一樣,但是絕對電壓偏置不一樣。對于這一點,測量示波器在不同偏置下的底噪聲或者評估直流增益指標可以提供更好的評價方法。
示波器ENOB的測量
示波器ENOB的測量需要考慮以下幾點因素:
● 測試源的ENOB要比被測示波器的ENOB大;
● 被測信號是否充滿示波器量程會影響ENOB的測試結果;
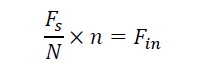
● 被測信號頻率與示波器采樣率會影響ENOB的測試結果。這一點很重要,在實際測試中必須滿足以下條件。(詳細點擊查看往期微信文章:《千萬別錯過!這些FFT干貨真的很受用》)

式中:
n:質數;
N:FFT的分析點數,此處取4096個點;
Fs:示波器采樣率;
Fin:被測信號頻率。
根據以上幾點,示波器ENOB的測量的大體思路和相關步驟如下:
1、示波器設置合適的垂直檔位、時基檔位、儲存深度和采樣率。采樣率可通過調節時基檔位和儲存深度改變。

圖5 示波器ENOB測試截圖
2、導出數據報表.SCV文件。

圖6 示波器導出.SCV文件
3、利用EXCEL對數據進行傅里葉變換,并計算ENOB。
注:EXCEL模板百度云鏈接:
https://pan.baidu.com/s/1ciUuB3oKfco-10QkR4o3TA
提取碼: x8i5

圖7 EXCEL處理數據求解ENOB
不同幅度和頻率被測信號的情況下,利用EXCEL處理數據求解示波器ENOB。結果如圖8所示,雖然ZDS2020B Plus采用8位ADC,由于被測信號幅度的影響,實際測量的ENOB是沒法達到理想狀態的。

圖8 示波器ENOB記錄表
總結
ENOB是衡量示波器ADC數模轉換性能的指標之一,但更高的ENOB并不是示波器能夠真實重現輸入信號的必要條件。這主要取決于測量什么信號,以及ENOB是否會影響到測量結果。在實際應用中,可以通過以下幾點提高示波器的ENOB以獲得較高的測量精度:
● 示波器選擇帶寬限制濾波器,這樣可以抑制交織誤差和噪聲等高頻分量,從而獲得更高的ENOB;
● 在測量重復性的或低頻信號時,使用平均或高分辨率的采集模式,這樣可以減少寬帶噪聲,綜合使用這些模式可以有效進行更高精度測量;
● 選擇合適的垂直量程,一般波形占屏80%~90%。
推薦閱讀:



