【導讀】本文根據國際機器人大賽的三關節機器魚的設計思路設計了雙關節機器魚的控制系統。仿生機器魚在水質檢測、海洋資源勘測、水下搜救方面發揮了重要的作用。本系統具有成本低廉、功耗低、體積輕巧的特性。
1 機器魚控制系統設計方案
機器魚控制系統總體結構如圖1所示。系統主要分為指令發送端和指令執行端,兩部分均以CC1110無線單片機作為核心控制器,負責指令的發送、接收、數據處理,進而控制機器魚的相關執行機構工作。指令發送端的指令來自上位機,USB串口轉換電路將USB接口模擬成串口,實現上位機與CC1110的串口通信。電源模塊完成電壓的變換,為相關電路提供各種合適的工作電壓。存儲器模塊存儲機器魚的相關信息。舵機驅動模塊為執行機構舵機提供合適的控制信號。

圖1 機器魚控制系統總體結構圖
2 機器魚控制系統硬件設計2.1 USB串口轉換電路
CH341T是一款USB總線轉接芯片,通過簡單的接線即可實現USB接口和串口之間的轉換,此時無需改動上位機與下位機的程序,通過USB接口即可實現上位機與下位機的串行通信。USB串口轉換電路原理圖如圖2所示。

圖2 USB串口轉換電路
在本設計電路中,將CH341T芯片的SDA和SCL引腳懸空,此時芯片功能為USB轉異步串口,模擬計算機串口;CH341T芯片的TXD和RXD兩個引腳分別連接到CC1110無線單片機的RX(P0.2)和TX(P0.3)兩個引腳;TEN#引腳為串口發送使能端,接地使CH341T能發送數據。CH341T芯片的地要和CC1110無線單片機的地相連。CH341T不需外接電源,直接由上位機通過USB口提供+5V電源。2.2 DC-DC電壓變換電路
指令發送端由USB提供5V電壓,指令執行端由電池提供5V直流電壓。電池提供的5V直流電壓可以直接為舵機驅動芯片以及舵機供電。而系統內部CC1110無線單片機正常工作電壓范圍是2.0~3.6V,存儲器芯片24AA01正常工作電壓范圍是1.7~5.5V,這里可以將二者的工作電壓選擇為3.3V.為此,專門設計了一個DC-DC電壓變換電路,將5V直流電壓變換為3.3V直流電壓后再提供給CC1110無線單片機和24AA01芯片,以保證系統的正常工作。這里采用AMS公司生產的AMS1117芯片設計了電壓變換電路,具體的DC-DC電壓變換電路如圖3所示。

圖3 DC-DC電壓變換電路
在電壓輸入端接有22 μF電解電容及電壓輸出端接有47 μF電解電容,以保證輸出電壓的穩定。[page]
2.3 CC1110無線收發電路
在機器魚控制系統中,機器魚指令的發送、接收以及指令解析執行是系統的關鍵部分。而現有的無線收發系統很多都是采用單片機和RF收發模塊組成,這樣整個控制電路的體積較大,將會使機器魚的體積變大。為了將機器魚體積做小以及將功耗降低,這里采用TI公司生產的一種低成本、低功耗的CC1110無線單片機作為指令收發執行的核心器件。CC1110無線收發電路如圖4所示。

圖4 CC1110無線收發電路
在無線收發電路中,電容C1-C6為電源去耦電容;電阻R2和電容C18構成上電復位電路;電容C7、C9以及電感L1、L2構成BALUN阻抗匹配電路,將輸出阻抗轉換為50 Ω標準天線阻抗;Y1、C13以及C14構成CC1110高速時鐘源;Y2、C15以及C16構成CC1110低速時鐘源:JATG接口用于在線調試與下載程序;PWM01(P1.0)和PWM02(P1.1)接舵機驅動電路的輸入;RX(P0.2)和TX(P0.3)接USB串口轉換電路,用于串口通信;2401_WP(P0.4)、2401_SCL(P0.5)以及2401_SDA(P0.6)接存儲器模塊,控制存儲器的讀寫。2.4 舵機驅動電路
在機器魚控制系統中,我們利用舵機的擺動來模擬機器魚的游動。而無線單片機產生的PWM信號不足以驅動舵機,為保證舵機正常工作,要專門設計一個舵機驅動電路。舵機驅動電路采用了74AHCT1G04芯片,舵機驅動電路原理圖如圖5所示。

圖5 舵機驅動電路
2.5 存儲器電路在機器魚初始化階段以及在機器魚控制過程中需要存儲一些參數,因此要有專門的存儲模塊。由于參數的數據量比較小,這里采用I2C接口的24AA01存儲芯片,存儲器電路原理圖如圖6所示。

圖6 存儲器電路
3 機器魚控制系統軟件設計在機器魚控制系統中軟件設計采用模塊化設計,主要包括串口通信程序、無線通信程序、存儲器讀寫程序以及舵機驅動程序。
3.1 串口通信程序設計
串口通信程序完成CC1110無線單片機與上位機PC的串行通信。串口接收數據采用中斷的方式,串口發送數據采用查詢的方式。串口收發程序流程圖如圖7所示。

圖7 串口收發程序流程圖
在硬件設計中采用了CH341T串口轉換電路模擬串口,為了配合硬件的使用,需要在上位機中安裝驅動程序,驅動程序可以從南京沁恒電子有限公司網站上下載。
[page]
3.2 無線通信程序設計
在設計無線通信程序前,需要配置CC1110的高頻部分,以確定無線收發器的收發頻率、發送功率、傳輸速率以及調制方式等。由于CC11 10高頻配置較為復雜,這里可以采用TI公司的SmartRF Studio軟件來進行配置。通過設置寄存器FREQ2、FREQ1和FREQ0將CC1110的收發頻率選擇在433MHz頻段;通過設置PA TABLE0將CC1110的發送功率設置為10dBm,這樣可以提高發射距離;由于該控制系統的指令數據量較小,可以選擇較低的傳輸速率,不僅可以提高傳輸距離,而且可以降低能耗;調制方式選擇2-FSK方式。
無線通信程序包括無線發送程序和無線接收程序兩部分。無線發送程序將待發送的數據通過無線的方式發送出去,無線接收程序可以接收同頻率的發射機發送的數據。無線通信程序流程圖如圖8所示。

圖8 無線通信程序流程圖
3.3 指令發送端主程序設計在機器魚控制系統的指令發送端,實現的功能包括串口收發數據和無線收發數據。指令發送端主程序流程圖如圖9所示。

圖9 指令發送端主程序流程圖
指令數據無線發送以后,指令發送端開始等待接收指令執行端反饋的數據。指令發送端接收到反饋數據后調用串口發送程序將反饋數據發回到PC,將反饋數據與指令數據比對,如果反饋數據與發送數據一致,則認為指令數據發送成功,否則重新發送指令數據。如果長時間沒有接收到反饋數據,則重新發送指令數據。3.4 指令執行端主程序設計
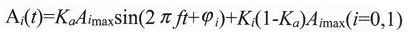
在機器魚控制系統指令執行端,主要包含指令數據的接收、指令數據的反饋發送、存儲器的讀寫以及舵機的控制等。其中,舵機的控制是最為關鍵的部分。在控制舵機前要先對指令數據進行解析,計算出舵機的控制量。由于舵機采用級聯的方式來模仿魚體的擺動,因此舵機間關節的運動規律可以采用以下數學模型:
式中,Ka為振幅系數,Ki為偏斜系數,f為擺動頻率,φi為關節滯后角,Aimax為關節擺動幅度,t為時間。以上參數即為舵機的主要控制參數。在程序設計過程中,一般取Ka≤0.5,Ki、f、φi以及Aimax四個參數根據具體的速度指令和方向指令來計算出相應的控制量。指令執行端主程序流程圖如圖10所示。

圖10 指令執行端主程序流程圖
相關閱讀:
單片機不起振?這是為什么?
智能加濕器系統用單片機如何設計?
3分鐘!攻破單片機低功耗設計技術





