電磁場的特性變化取決于與天線的距離。可變的電磁場經常劃分為兩部分 —— 近場和遠場。要清楚了解二者的區別,就必須了解無線電波的傳播。
無線電波應該稱作電磁波或者簡稱為EM波,因為無線電波包含電場和磁場。來自發射器、經由天線發出的信號會產生電磁場,天線是信號到自由空間的轉換器和接口。
電磁波

圖1
圖1展示了典型的半波偶極子天線是如何產生電場和磁場的。轉發后的信號被調制為正弦波,電壓呈極性變化,因此在天線的各元件間生成了電場,極性每半個周期變換一次。天線元件的電流產生磁場,方向每半個周期變換一次。電磁場互為直角正交。
圍繞著半波偶極子的電磁場包括一個電場和一個磁場,電磁場均為球形且互成直角(如圖2所示)。天線旁邊的磁場呈球形或弧形,特別是距離天線近的磁場。這些電磁場從天線向外發出,越向外越不明顯,特性也逐漸趨向平面。接收天線通常接收平面波。
雖然電磁場存在于天線周圍,但他們會向外擴張,超出天線以外后,電磁場就會自動脫離為能量包獨立傳播出去。實際上電場和磁場互相產生,這樣的“獨立”波就是無線電波。

圖2
距離天線一定范圍內,電場和磁場基本為平面并以直角相交。注意傳播方向和電磁場均成直角。在圖2(a)中,傳播方向和電磁場線方向成正交,即垂直紙面向內或向外。在圖2(b)中,磁場線垂直紙面向外,如圖中圓圈所示。
近場
對近場似乎還沒有正式的定義,它取決于應用本身和天線。通常,近場是指從天線開始到1個波長(λ)的距離。波長單位為米,公式如下:
λ= 300/fMHz
因此,從天線到近場的距離計算方法如下:
λ/2π = 0.159λ
圖3標出了輻射出的正弦波和近場、遠場。近場通常分為兩個區域,反應區和輻射區。在反應區里,電場和磁場是最強的,并且可以單獨測量。根據天線的種類,某一種場會成為主導。例如環形天線主要是磁場,環形天線就如同變壓器的初級,因為它產生的磁場很大。

圖3
近場和遠場的邊界、運行頻段的波長如圖3所示。天線應位于正弦波左側起始的位置。輻射區內,電磁場開始輻射,標志著遠場的開始。場的強度和天線的距離成反比(1/ r3)。圖3所示的過渡區是指近場和遠場之間的部分(有些模型沒有定義過渡區)。圖中,遠場開始于距離為2λ的地方。
遠場
和近場類似,遠場的起始也沒有統一的定義。有認為是2 λ,有堅持說是距離天線3 λ或10 λ以外。還有一種說法是5λ/2π,另有人認為應該根據天線的最大尺寸D,距離為50D2/λ。還有人認為近場遠場的交界始于2D2/λ。也有人說遠場起始于近場消失的地方,就是前文提到的λ/2π。
遠場是真正的無線電波。它在大氣中以3億米/秒的速度,即接近18.64萬英里/秒的速度傳播,相當于光速。電場和磁場互相支持并互相產生,信號強度和距離平方成反比(1/r2)。麥克斯韋在其著名的公式中描述了這一現象。
麥克斯韋方程組
19世紀70年代末,在無線電波發明之前,蘇格蘭物理學家詹姆斯·克拉克·麥克斯韋預測出了電磁波的存在。他綜合了安培、法拉第和歐姆等人的定律,制定了一套方程表達電磁場是如何相互產生和傳播的,并斷定電場和磁場互相依存、互相支持。19世紀80年代末,德國物理學家海因里希·赫茲證明了麥克斯韋的電磁場理論。
麥克斯韋創造了四個基本方程,表達電場、磁場和時間之間的關系。電場隨時間推移產生移動電荷,也就是電流,從而產生磁場。另一組方式是說,變化的磁場可以產生電場。天線發出的電磁波在空間中自行傳播。本文沒有列出這些方程組,但你應該記得包含一些不同的方程。
應用
遠場在空間中傳播的強度變化由Friis公式決定:
Pr = PtGrGtλ2/16π2r2
公式中,Pr =接收功率;Pt =發射功率;Gr = 接收天線增益(功率比);Gt =發射天線增益(功率比);r=到天線的距離。公式在視線所及的無障礙開闊空間中適用。
這里有兩個問題需要討論。接收功率和距離r的平方成反比,和波長的平方成正比,也就是說,波長較長、頻率較低的電磁波傳的更遠。例如,同等的功率和天線增益下,900MHz的信號會比2.4GHz的信號傳播得更遠。這一公式也常常用它來分析現代無線應用的信號強度。
為了準確測量信號的傳播,還必須了解天線在遠場的輻射模式。在近場的反應區里,接收天線可能會和發射天線會由于電容和電感的耦合作用互相干擾,造成錯誤的結果。另一方面,如果有特定的測量儀器,近場的輻射模式就可以準確測量。
近場在通信領域也很有用。近場模式可以用于射頻識別(RFID)和近場通信(NFC)。
射頻識別(RFID)
RFID是條形碼的電子版,它是一個內部有芯片的很薄的標簽,其中芯片集成了存儲和特定的電子代碼,可以用作識別、最總或其他用途。標簽還包含一個被動收發器,在接近“閱讀器”的時候,由閱讀器發出的很強的RF信號就會被標簽識別。閱讀器和標簽的天線都是環形天線,相當于變壓器的初級和次級。
由標簽識別的信號經過整流濾波轉換成直流,為標簽存儲和轉發供能。發射器將代碼發送到閱讀器上,用于識別和處理。主動標簽有時會用到電池,將感應距離延長到近場以外的地方。RIFD標簽的頻率范圍各不相同,有125kHz、13.56MHz和900MHz。
在900MHz,波長為:
λ= 300/900 = 0.333m 或 33.33cm
因此根據近場距離計算公式:
λ/2π= 0.159λ= 0.159(0.333) = 0.053m (約2英寸)
感應距離通常超過這一數字,所以這一頻率下距離實際上也延伸到了遠場。
近場通信(NFC)
NFC也采用了存儲和類似于信用卡的特定代碼。電池驅動的內部轉發器可以把代碼發射到閱讀器上。NFC也使用近場,范圍一般為幾英寸。NFC的頻率為13.56MHz,因此波長為:
λ= 300/13.56 = 22.1m (72.6英尺)
近場距離為不超過:
λ/2π = 0.159λ = 0.148(72.6) = 11.5英尺
因為電量消耗低,實際的感應距離很少超過1英尺。
近場工作區反射電平測試原理及方法
近場工作區反射電平測試原理
采用自由空間電壓駐波比法測量近場工作區反射電平,測量原理是基于微波暗室中存在有直射信號和反射信號,微波暗室中空間任意一點的場強是直射信號和反射信號的矢量合,在空間形成駐波,駐波數值的大小就反映了微波暗室內反射電平的大小。
VSWR法測量原理圖
當接收天線主瓣對準發射天線時,所接收到的信號為ED。移動接收天線,則接收天線的直射信號ED與反射信號ER的相對相位將會改變,此時接收天線收到的信號幅度將產生波動,如圖所示,這一波動反映空間固有駐波,由此即可得到反射電平。

暗室空間駐波圖
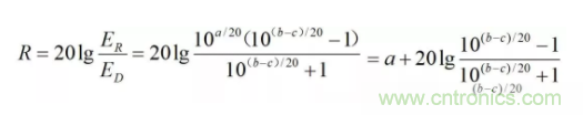
將接收天線轉到比最大電平低a(dB)的方位角q時,則所接收的直射信號Eq=ED10a/20。當反射信號與直射信號同相時合成場最大,這時以b表示:

當反射信號與直射信號反相時合成場最小,這時以c表示:

則反射電平:

因此測出空間駐波曲線和接收天線方向圖,就可以計算出微波暗室反射電平。
測試方法
在近場工作區內針對主反射墻的吸波材料進行特定頻段吸收特性的測試。
測試位置的選取
測試近場工作區反射電平時,發射天線先置于暗室中心軸線上,接收天線置于正對被測墻壁的一個合理位置,并沿兩天線軸線移動一段距離進行反射電平的測試。測試位置如圖所示。

近場靜區測試位置示意圖(俯視圖)

近場靜區測試位置示意圖(側視圖)

測試設備連接示意圖
測試步驟
連接好測試系統,按圖2-5置發射天線及接收天線于測試位置Ⅰ;
設置信號源頻率為1GHz,輸出功率調至合適大小使發射天線輻射信號,接收天線在正對發射天線方向,沿待測行程線移動,并記錄接收信號曲線,測試曲線作為這條行程線的參考電平線;
將接收天線方向朝向被測墻壁吸波材料方向,接收天線沿這條測量行程線移動,并記錄空間駐波曲線;
改變天線極化方式,重復以上步驟a)~c)的測量;
分別在2GHz、5GHz、10GHz、18GHz、40GHz頻率點,重復步驟b)~d),直至完成所有頻率點測量;
改變發射天線及接收天線位置,如圖2-3所示,分別至位置Ⅱ、位置Ⅲ,重復上述步驟b)~e)的測量;
改變發射天線及接收天線高度,如圖2-4所示,分別至H2、H3,重復上述步驟b)~f)的測量。
數據處理

遠場靜區幅度均勻性測試方法
遠場靜區幅度均勻性是指發射天線保持不動,接收天線在靜區內沿指定行程線移動時,接收信號幅度變化情況。
在進行幅度均勻性測試時,接收天線沿圖所示的區域不同高度的行程線進行橫向運動,采集區域內各個位置的幅度數據,經過數據篩選及處理后得到靜區內一個圓形平面的幅度均勻性測量結果。通過對靜區內多個平面進行測量,得到整個靜區的幅度均勻性測試結果。
測試步驟
連接好測試系統,按圖3-2置發射天線及接收天線于測試位置Ⅰ;
設置信號源頻率為1GHz,輸出功率調至合適大小使發射天線輻射信號,接收天線在正對發射天線方向,沿待測行程線移動,并記錄接收信號曲線;
改變測試行程線在一個測試面內的不同高度進行測量;
改變天線極化方式,重復以上步驟a)~c)的測量;
分別在3GHz、5GHz、10GHz、18GHz頻率點,重復步驟b)~d),直至完成所有頻率點測量;
改變測試面,重復上述步驟b)~e)的測量。



