中心議題:
- 開關電源EMI產生和解決方法
解決方案:
- 網側高次諧波抑制
- 高次諧波電流的抑制
- 采用共模扼流圈
- 光耦隔離
- 開關緩沖電路
電路介紹
反激式電源原理圖如圖1所示。


輸入為交流85~200V,經功率二極管整流橋變為直流,作為DC/DC反激變換器的輸入,輸出為三組直流:5V、15V、20V,另外還有一輔助電源5V,用來給光耦NEC2501供電??刂齐娐窞榉答伩刂?,開關選用TOPSwitch電源芯片(TOP223)。TOPSwitch為三端離線式PWM電源集成控制器,它將PWM控制器與功率開關MOSFET合為一體,采用TO-220或8腳DIP封裝,除D、C2腳外,其余6腳連在一起作為S端。
本電路中TOP223采用UDS>700V的MOSFET,fs=100kHz。在這個Flyback反激式電源中,變壓器原邊繞組33匝,副邊有四組:6匝(對應于輸出Uo2=5V)、11匝(對應于輸出Uo3=15V)、12匝(對應于輸出Uo1=20V)、6匝(對應于輔助電源U=5V)。在副邊,WY1和WY2為穩壓器件,WY1輸入在≥8V時,輸出可穩在5V;WY2輸入≥18V時,輸出可穩在15V。
EMI分析
開關電源工作時,其內部的電壓和電流波形都是在非常短的時間內上升和下降的,所以開關電源本身就是一個噪聲發生源。開關電源的干擾按噪聲干擾源種類可分為尖峰干擾和諧波干擾兩種。使電源產生的干擾不至于對電子系統和電網造成危害的根本辦法就是采用耗能電路來削弱噪聲發生源,或者切斷電源噪聲和電子系統、電網之間的耦合途徑。
網側高次諧波電流
高次諧波電流的危害參照圖1,交流輸入電壓Vi經功率二極管整流橋變為正弦脈動電壓,被電容C1平滑后成為直流,但電容電流的波形不是正弦波而是脈沖波。如圖2所示。

由圖2中電流波形可知,電流中含有高次諧波。大量電流諧波分量倒流入電網,對電網造成諧波污染,一方面,產生“二次效應”,即電流經過線路阻抗造成諧波電壓降,反過來使電網電壓(原來是正弦波)也發生畸變;另一方面,會造成電路故障,如線路和配電變壓器過熱,諧波電流會引起電網LC諧振,或高次諧波電流流過電網的高壓電容,使之過流、過熱而爆炸等。另外,由于電流是脈沖波,使電源輸入功率因數降低。因此,必須想辦法解決它。
高次諧波電流的抑制
最簡單的辦法是在整流橋與電容C1之間接入電感線圈L,用其阻止對電容C1較大的充電電流。L對交流呈現感抗為ωL,電容充電電流的平均值常與放電直流電流值相等,則峰值電流被限制,導通角變大。如圖3所示。

若線圈電感足夠大,則電流導通角可達到180°,電流近似正弦波,功率因數趨于1。但是,在實際應用中,如果電感值太大,那么其體積重量隨之變大,從而影響了電源的小型化,而且整流電壓隨著負載變化較大,因此,線圈L也不能太大。本電路中共模扼流圈L2可起到電感的作用,其等效電感為L,則可抑制電容電流的高次諧波。
本電路中采用共模扼流圈L2(如圖1所示)
對開關電源二根進線而言,存在共模干擾(二根線上受干擾信號相對參考點大小、方向相同)和差模干擾(二根線上受干擾信號相對參考點大小相等、方向相反)。共模扼流圈如圖4所示。

在差模干擾信號作用下,干擾源產生的電流i,在磁芯中產生方向相反的磁通,磁芯中等于沒有磁通,線圈電感幾乎為0,因此不能抑制差模干擾信號。——在共模干擾信號作用下,兩線圈產生的磁通方向相同,有相互加強的作用,每一線圈電感值為單獨存在時的兩倍。因此,這種繞法的電磁線圈對共模干擾有強的抑制作用。本電路中在電網與整流橋之間插入一共模扼流圈,該扼流圈對電網頻率的差模網側電流呈現極低的阻抗,因而對電網頻率的壓降極低;而對電源產生的高頻共模噪聲,等效阻抗較高,因而可以得到希望的插入損耗。
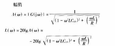
扼流圈L2與電容C10、C1組成低通濾波器扼流圈L2的等效電感為L,以電源端作為輸入,電網方向作為輸出,則電路圖如圖5所示。

其傳遞函數為



- 40lgω LC10。
A(ω ), L(ω )隨頻率ω的變化如圖6所示 。

由此可見,以上LC網絡組成一個低通濾波器,可濾除以上的高次諧波。
開關緩沖電路
由于開關的快速通斷,開關電流、電壓波形為脈沖形式,產生噪聲污染,既增大了電源輸出的紋波,又影響電源的性能,因此,要想辦法抑制。本電路中,輸入為交流85~200V,經整流橋后電容上的電壓約為此交流有效值的1.2~1.4倍,最大時為Ucm=200×1.4=280V。另外,變壓器副邊折合到原邊的電壓Up=Us×33/6,Us取副邊第一繞組(5V繞組)的電壓??紤]到WY1輸入≥8V,取10V,則Up=Us×33/6=10×33/6=55V。那么開關關斷時所要承受的總電壓Ut=Ucm+Up=280+55=335V。可見對開關的過壓保護是必要的。本Flyback電源中采用TOPSwitch開關,其內部有過壓保護和緩沖電路。為保險起見,在電路中還是加入了外部的過壓保護電路(R21和C21)。

未加緩沖電路和加入緩沖電路之后開關管電壓Ut和電流i及功耗Pt的波形如圖7所示。由圖7可知,加RC緩沖電路后,開關電壓上升速率減慢,變小,噪聲減弱,抑制了EMI。另外,開關功耗變小,使管子不致因過流過熱而損壞。緩沖電路中的R21是在開關開通,電容C21放電時起到限流作用,避免對管子的沖擊。
2) 對于開關開通時的電流沖擊,因為有變壓器原邊線圈Np電感的限流,因此本電路中沒有加限流電感。
光耦隔離
由于控制電路對噪聲敏感,一旦有噪聲,將會引起控制電路中的控制信號紊亂,而嚴重影響電源的工作。為了保證開關電源的正常工作,要求控制電路必須具有高精度和高穩定性,為此,必須將主電路與控制電路隔離。本電路中,用NEC2501將電源中的兩部分進行電隔離:一部分是作為控制電路電源的變壓器副邊輔助電源,另一部分是主電路。這樣就防止了噪聲通過傳導的途徑傳入到控制電路中。

為更好抑制EMI對電路的一些改進本電路中主要的EMI是電源噪聲對電網的干擾。可將原來的共模扼流圈L2與電容C10、C1組成的濾波電路,改善為如圖8所示電路,則L1、L2、C1可除去差模干擾,L3、C2、C3可除去共模干擾。L1、L2的磁芯為不易飽和的材質。C1可選陶瓷電容,耐壓必須考慮輸入電壓的最大可能值,通常選用0.22~0.47μF。L3是共模扼流圈。選定C=C2=C3,截止頻率f0,則可根據計算L3;選定C1,截止頻率f0,可計算出L1、L2。



