【導讀】差分運算放大電路,對共模信號得到有效抑制,而只對差分信號進行放大,因而得到廣泛的應用。
差分運算放大電路,對共模信號得到有效抑制,而只對差分信號進行放大,因而得到廣泛的應用。
差分電路的電路構型

圖1 差分電路
目標處理電壓:是采集處理電壓,比如在系統中像母線電壓的采集處理,還有像交流電壓的采集處理等。
差分同相/反相分壓電阻:為了得到適合運放處理的電壓,需要將高壓信號進行分壓處理,如圖1中V1與V2兩端的電壓經過分壓處理,最終得到適合運放處理的電壓Vin+與Vin-。
差分放大電路:
反饋,對于運算放大電路來說,運放工作在線性區,所以這里一定是負反饋,沒有反饋(開環)或者是正反饋,那是比較器電路而不是放大電路,這時候運放工作在飽和區或稱為非線性工作區,正因為飽和,輸出才是電源電壓的幅值。
圖2是一種帶正反饋的運放電路,這里就不能叫運算放大電路了,因為運放的開環放大倍數理想是無限大,當然實際中不可能無限大,所以如下結構是遲滯電壓比較器,運放工作在非線性區或飽和區。

圖2
圖3,依然是電壓比較器結構,上面已經提到,運放開環增益很大,不帶負反饋,工作就如非線性區,當做電壓比較器來使用。

圖3
運算放大器,反饋電阻從輸出接到反相端"-"就是負反饋,當然在輸出信號不超過電源電壓時(注:一切信號的能量來源是電源,輸出當然不可能超過電源幅值),實現的功能就是放大信號的功能;接到同相端"+"就是正反饋,電路功能是電壓比較器。當然在實際當中我們并不提倡用運放去做電壓比較器,而是選用專用的比較器,如LM339、LM393、LM211等,因為比較器和運放在實際當中內部器件的工作狀態還是有區別的。
比較器接了限流電阻—"R74、R77",這是因為比較器在幅值切換時,快速上升或下降沿對后級容性負載進行充放電,這個充放電電流確來自這個有源器件—比較器,因此加限流電阻目的是防止電流沖擊。
RC濾波:可以酌情調節,目的是防止輸出過沖等信號失真問題
差分輸入電壓的計算
圖4電路,為了便于計算,我們給定每個阻值。
差分電路的另一個特點是對稱性,R40=R56及R47=R55,差分分壓兩個支路電阻也是相等的。

圖4
Vin+和Vin-的值是如何計算的?
我們先通過繁瑣的計算來得到,然后再簡化計算。
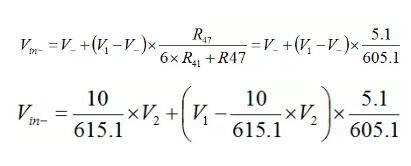
首先,運放的同相端5引腳和反相端6引腳,利用"虛短"得到,其中系數6是指6個100k的電阻,方便簡化式子:

那么通過分壓關系得到Vin+:

再次通過分壓關系得到Vin-:

那么就得到Vin+減Vin-的值。
其實還有一種簡單方法得到Vin+減Vin-的值,利用運放的虛短特點,可將電路等效為:

圖5

圖6
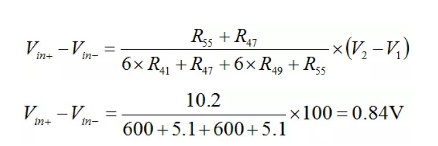
所以要計算Vin+減Vin-的值,變得很容易,只是一個簡單的分壓電路而已,如下計算得到:

得到差分電壓輸入值是0.84V。
差分放大電路的計算

圖7
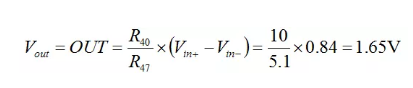
計算公式推導,依舊遵循運放的虛短和虛斷特性,當R56=R40,R47=R55時,差分計算可以簡化為:

實際應用電路中,我們為了簡化計算,也是用最簡方法計算,經常使用的電路也是上述電路,令電阻相等關系,簡化計算。
放大電路的"偏移計算"
為什么要對輸出電壓進行偏移?這是因為如當采集負值時,我們的采樣芯片和MCU幾乎都不支持負值采樣的時候,你就必須進行偏移,使得輸出總是為正值。
偏移電路,如圖8,在原來同相端電阻接地GND的地方,我們接一個電壓值,通常也稱為偏移電壓。那么最終表達式是什么?

圖8
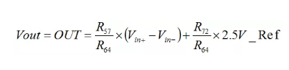
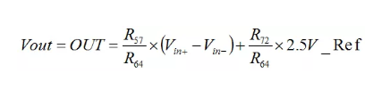
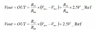
通過疊加定理最終得到:

這里公式的成立,保證R64=R72,R73=R57,那么最終得到偏移公式是在原來基礎上加個電壓偏移量2.5V_Ref:

只要根據實際應用選擇合適的偏移量,輸出總會為一個正值。

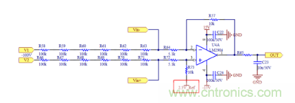
圖9
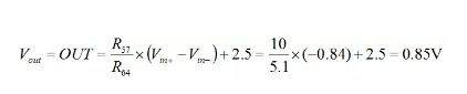
比如,圖9電路,輸入電壓變為-100V,那么最終輸出電壓就為:

這樣就將負電壓偏移為正電壓,處理器符合處理器處理要求了,偏移電路在采集如交流電、以及存在負直流電壓的控制電路中廣泛使用。
免責聲明:本文為轉載文章,轉載此文目的在于傳遞更多信息,版權歸原作者所有。本文所用視頻、圖片、文字如涉及作品版權問題,請電話或者郵箱聯系小編進行侵刪。




