【導讀】近年來,隨著計算機微處理器的輸入電壓要求越來越低,低壓大電流DC - DC 變換器的研究得到了許多研究者的重視,各種拓撲結構層出不窮,同步整流技術、多重多相技術、磁集成技術等也都應用于這個領域。筆者提出了一種交錯并聯的低壓大電流DC - DC 變換器, 它的側采用對稱半橋結構, 而二次側采用倍流整流結構。
近年來,隨著計算機微處理器的輸入電壓要求越來越低,低壓大電流DC - DC 變換器的研究得到了許多研究者的重視,各種拓撲結構層出不窮,同步整流技術、多重多相技術、磁集成技術等也都應用于這個領域。筆者提出了一種交錯并聯的低壓大電流DC - DC 變換器, 它的側采用對稱半橋結構, 而二次側采用倍流整流結構。采用這種結構可以極大地減小濾波電容上的電流紋波,從而極大地減小了濾波電感的大小與整個DC - DC 變換器的尺寸。這種變換器運行于48 V 的輸入電壓和100 kHz 的開關頻率的環境。
2 倍流整流的低壓大電流DC - DC變換器的結構分析
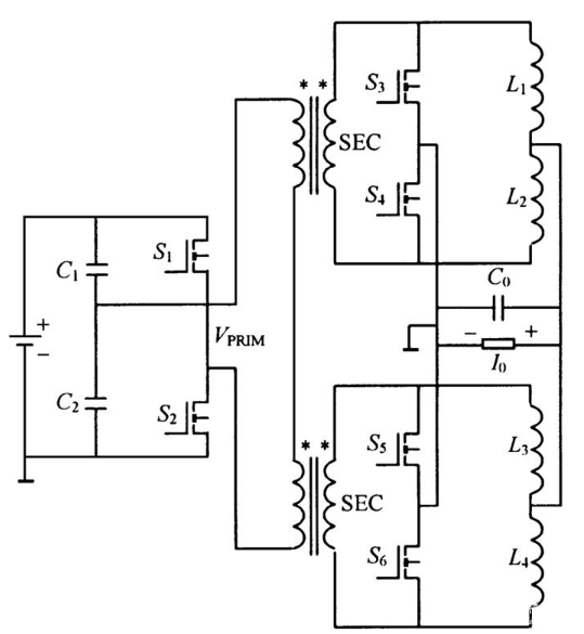
倍流整流低壓大電流DC-DC 變換器的電路原理圖如圖1 所示, 側采用對稱半橋結構, 二次側采用倍流整流結構,在S1 導通時SR1 必須截止, L1 充電; 在S2 導通時SR2 必須截止, L2 充電,這樣濾波電感電流就會在濾波電容上移項疊加。圖2 給出了開關控制策略。
圖1 倍流整流的低壓大電流DC- DC變換器的電路原理圖
圖2 開關的控制策略
通過以上分析可以看出, 倍流整流結構的二次側2 個濾波電感電流在濾波電容上相互疊加, 從而使得輸出電流紋波變得相當小。
結構中的同步整流器均按外加信號驅動處理,使控制變得很復雜, 但在這種半橋- 倍流拓撲結構中使用簡單的自驅動方式很困難,因為, 在這種結構中, 如果直接從電路中取合適的點作為同步整流器的驅動信號, 在死區時間內當這個驅動信號為零時, 同步整流器就會截止。為了在半橋- 倍流拓撲結構中使用自驅動方式, 就必須使用到輔助繞組。
以單個半橋- 倍流拓撲結構為例, 見圖3 , VSEC為變壓器的二次側電壓, Vgs為由輔助繞組獲得的同步整流器的驅動電壓, 可以看出即使在死區的時間內,同步整流器的驅動電壓也不可能為零, 保證了自驅動方式在這種拓撲結構中的應用。
圖3 自驅動同步整流器電路及波形圖
另外, 由于在大電流的情況下MOSFET導通壓降將增大, 從而產生較大的導通損耗, 為此應采用多個MOSFET 并聯方法來減小損耗。
3 交錯并聯低壓大電流DC - DC 變換器
3.1 電路原理圖
綜上所述, 倍流整流低壓大電流DC - DC 變換器具有很好的性能, 在此基礎上引入交錯并聯技術, 構成一種新的結構, 稱為并聯低壓大電流DC - DC變換器, 可以進一步減小輸出電流紋波。
圖4 交錯并聯低壓大電流DC- DC變換器的電路原理圖
圖4 為交錯并聯低壓大電流DC - DC 變換器的電路原理圖(以簡單的2 個倍流整流交錯并聯為例)。
3.2 變換器的開關控制策略
交錯并聯低壓大電流DC - DC 變換器的開關控制策略見圖5。
圖5 交錯并聯低壓大電流DC- DC變換器的開關控制策略
3.3 交錯并聯低壓大電流DC- DC變換器性能
首先這種拓撲結構的優點是變壓器原邊的結構簡化, 控制變得很簡單。其次, 這種方法的實現必須采用同步整流電路, 因為交錯并聯電路的實現要求變壓器副邊上下電位輪流為正,在一個時間段內有且只有一個為正電位, 其余都為零電位。但在這種拓撲結構中, 由于2 個變壓器的原邊串聯在一起,而副邊是并聯的, 這樣如果用肖特基二極管作整流器, 那么輸入電壓將在2 個變壓器原邊上分壓, 而肖特基二極管又沒有選通的功能, 這樣變壓器二次側的波形將是完全對稱的, 上下2 個整流電路的電流完全重合, 達不到電流交錯并聯的目的。
這樣, 應用同步整流器來完成這個功能, 同時利用MOSFET 的雙向導電特性, 因為同步整流管的漏源電流是分布在坐標橫軸兩側的。這種結構的過程詳細分析如下:
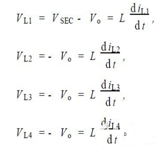
1) S1 導通, S2 截止; S3 截止, S4 , S5 , S6 均導通。由于S4 , S5 , S6 的導通, 變壓器副邊繞組下端為零電位,第二變壓器副邊繞組上、下端均為零電位,電感L1 上電流上升, L2 , L3 , L4 上電流下降。
2) S2 導通, S1 截止; S4 截止, S3 , S5 , S6 均導通。由于S3 , S5 , S6 的導通, 變壓器副邊繞組上端為零電位,第二變壓器副邊繞組上、下端均為零電位, 電感L2 上電流上升, L1 , L3 , L4 上電流下降。
3) S1 導通, S2 截止; S5 截止, S3 , S4 , S6 均導通。由于S3 , S4 , S6 的導通, 第二變壓器副邊繞組下端為零電位,變壓器副邊繞組上、下端均為零電位, 電感L3 上電流上升, L1 , L2 , L4 上電流下降。
4) S2 導通, S1 截止; S6 截止, S3 , S4 , S5 均導通。由于S3 , S4 , S5 的導通, 第二變壓器副邊繞組上端為零電位,變壓器副邊繞組上、下端均為零電位, 電感L4 上電流上升, L1 , L2 , L3 上電流下降。
以上各式均忽略整流器的電壓降, 且V SEC為變壓器二次側的電壓值。
根據以上分析可知, 應用同步整流器, 通過變壓器原邊串聯而副邊并聯的方法, 可以實現這種交錯并聯半橋- 倍流拓撲結構。它的優點主要有以下幾個方面:
1) 有效地簡化了拓撲結構和控制策略。
2) 在頻率保持不變的情況下, 如果紋波的峰- 峰值一定, 則這種結構可以有效減小濾波電感的值,從而加快整個變換器的動態響應時間。
3) 交錯并聯的半橋- 倍流拓撲結構與非交錯并聯的半橋- 倍流拓撲結構相比,側和二次側的導通損耗相差不多, 但由于采用交錯并聯技術,二次側的開關頻率是原來的一半, 相應的開關損耗也是原來的一半。由于變換器的開關損耗在整個損耗統計中占很大的比例,因此, 交錯并聯技術可以極大地提高變換器的效率。
4 仿真分析
應用Pspice 軟件對電路進行仿真。電路的參數如下: 開關頻率為100 kHz , 占空比為40 % ,輸入電壓為48 V , 濾波電感為2μH , 濾波電容為820μF , 輸出電流為60 A , 輸出電壓為1125 V。
圖6 所示為濾波電感的電流波形, 從圖6 可以看出, 4 個濾波電感的電流輪流充電,如果一個濾波電感在充電, 其余3 個電感必須在放電, 在死區時間內, 4 個濾波電感都在放電。
圖7 和圖8 所示分別為交錯并聯變換器與單個倍流整流變換器結構的輸出電流紋波波形, 從圖7中可以看出, 4 個濾波電感的電流在濾波電容上疊加, 可以把電流的紋波減小很多。
圖6 濾波電感電流波形
圖7 交錯并聯變換器結構的輸出電流紋波波形
圖8 單個倍流整流變換器結構的輸出電流紋波波形
5 實驗結果
通過理論研究及仿真分析, 可以看出, 交錯并聯的低壓大電流DC - DC 變換器具有良好的性能,在輸出為1125 V/ 60 A 的情況下,輸出電流紋波可以降到很小。為了進一步說明這種拓撲結構的可行性, 用實驗結果驗證。實驗電路見圖4 , 實驗參數和仿真相同,得到如圖9 所示的實驗波形。圖9 中, V gs為側一個MOSFET 的門極驅動電壓波形, V ds則為相應的MOSFET 的柵源電壓波形,從圖9 可以看出, 實驗結果所得波形同圖5 的理論分析結果十分吻合, 所提出的方法是可行的。其中,變壓器選用R2 KB 軟磁鐵氧體材料制作的GU22 磁心, 原副邊的匝數分別為8 匝和1 匝; 電感選用寬恒導磁材料IJ 50h 制作的環形鐵心T5 - 10 - 215 ,匝數為8 匝。
圖9 實驗波形
6 結語
通過仿真及實驗分析, 得出以下結論: 對于低壓大電流DC - DC 變換器, 可以通過交錯并聯的方法,進一步減小輸出電流紋波, 效果十分明顯;或者在同樣輸出電流紋波情況下, 可以極大地減小濾波電感值, 從而減小整個變換器的尺寸, 提高變換器的瞬態響應特性。所討論的2 個倍流整流結構交錯并聯同樣適應于多個倍流整流結構交錯并聯的情況。
免責聲明:本文為轉載文章,轉載此文目的在于傳遞更多信息,版權歸原作者所有。本文所用視頻、圖片、文字如涉及作品版權問題,請聯系小編進行處理。
推薦閱讀:
安森美的碳化硅技術賦能純電動汽車VISION EQXX單次充電續航更遠




