【導讀】在我們的日常工作中,經常會碰到器件失效或系統故障,這時為了清楚界定失效事件的嚴重性,就需要定量的來描述具體的失效率,這就需要用專業的術語來溝通,而有的工程師喜歡談FIT,有的工程師喜歡談MTBF,其實這兩個概念所描述的主體是不一樣的,因此有必要在此簡析一下。
在我們的日常工作中,經常會碰到器件失效或系統故障,這時為了清楚界定失效事件的嚴重性,就需要定量的來描述具體的失效率,這就需要用專業的術語來溝通,而有的工程師喜歡談FIT,有的工程師喜歡談MTBF,其實這兩個概念所描述的主體是不一樣的,因此有必要在此簡析一下。
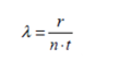
FIT,是英文Failures In Time的縮寫,從其字面意思可知,它是以時間維度來表述失效率的,實際上它是描述“器件”失效率或故障率的單位。故障率(λ)是指正常工作的n個器件在運行一定時間t之后,其中喪失其規定的功能的r個器件所占的比例,公式表述為:

這里λ的單位即是fit,定義是在109h(小時) 內,出現一次故障即為1fit。因此,如果某個器件失效率為100fit,則平均預期可安全工作107小時。
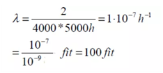
舉例來講,如果測試某批次的器件,被測器件共4000個,在工作了5000小時后出現了2個器件失效,則該器件的失效率λ為:

MTBF,是英文Mean Time Between Failures的縮寫,即平均無故障時間,是指設備從一次故障到下一次故障的平均時間,是衡量一個“設備”的可靠性指標(僅用于發生故障經修理或更換器件能繼續工作的設備或系統),單位為“小時”。具體來說,是指相鄰兩次故障之間的平均工作時間,也稱為平均故障間隔,它僅適用于可維修設備或系統,同時也可表述為設備或系統在總的使用階段累計工作時間與故障次數的比值為MTBF。
假定某個設備由i個器件構成,而這些器件分別對應的失效率為λi,則該設備的MTBF用公式計算為:

簡單舉例來講,如果一個系統由50個器件組成,每個器件的失效率均為250fit,則該系統的MTBF為:1/(50*250fit)=80000h(小時)。
進而,如果該系統平均每天運行18h,每年運行300天,則該系統的安全壽命為:
80000h/(300*18h)=14.8年。
下面,我們來看一個更貼近實際應用的某變流器MTBF的估算示例,表中的器件對應fit值均為假設或近似,只是為了說明計算方法:

由上表中計算出系統整體失效率為5300fit,假定其常年無休一直在運行,則其MTBF=10E9/5300/ (24x365)=21.5(年),即該變頻器預期可安全運行21.5年。
綜上,MTBF是用來描述系統或設備級別的故障間隔時間,而FIT是用來描述某單一器件的失效率的單位。
英飛凌為部分器件提供了FIT率報告,登錄myInfineon,在產品頁面下就可以查看。下面就是IKW40N120T2的報告。可以看到,這顆器件包含了IGBT和二極管芯片,總的FIT率為單顆器件FIT相加,僅為0.8,即器件平均預期可安全工作1.25*109小時,表征了器件非常好的可靠性。

免責聲明:本文為轉載文章,轉載此文目的在于傳遞更多信息,版權歸原作者所有。本文所用視頻、圖片、文字如涉及作品版權問題,請電話或者郵箱聯系小編進行侵刪。




