【導讀】兩種濾波器都是數字濾波器。根據沖激響應的不同,將數字濾波器分為有限沖激響應(FIR)濾波器和無限沖激響應(IIR)濾波器。對于FIR濾波器,沖激響應在有限時間內衰減為零,其輸出僅取決于當前和過去的輸入信號值。對于IIR濾波器,沖激響應理論上應會無限持續,其輸出不僅取決于當前和過去的輸入信號值,也取決于過去的信號輸出值。
1.兩種濾波器都是數字濾波器。根據沖激響應的不同,將數字濾波器分為有限沖激響應(FIR)濾波器和無限沖激響應(IIR)濾波器。對于FIR濾波器,沖激響應在有限時間內衰減為零,其輸出僅取決于當前和過去的輸入信號值。對于IIR濾波器,沖激響應理論上應會無限持續,其輸出不僅取決于當前和過去的輸入信號值,也取決于過去的信號輸出值。
2.FIR:有限脈沖響應濾波器。有限說明其脈沖響應是有限的。與IIR相比,它具有線性相位、容易設計的優點。這也就說明,IIR濾波器具有相位不線性,不容易設計的缺點。而另一方面,IIR卻擁有FIR所不具有的缺點,那就是設計同樣參數的濾波器,FIR比IIR需要更多的參數。這也就說明,要增加DSP的計算量。DSP需要更多的計算時間,對DSP的實時性有影響。
以下都是低通濾波器的設計。
FIR的設計:
FIR濾波器的設計比較簡單,就是要設計一個數字濾波器去逼近一個理想的低通濾波器。通常這個理想的低通濾波器在頻域上是一個矩形窗。根據傅里葉變換我們可以知道,此函數在時域上是一個采樣函數。通常此函數的表達式為:
sa(n)=sin(n∩)/n∏,但是這個采樣序列是無限的,計算機是無法對它進行計算的。故我們需要對此采樣函數進行截斷處理。也就是加一個窗函數。就是傳說中的加窗。也就是把這個時域采樣序列去乘一個窗函數,就把這個無限的時域采樣序列截成了有限個序列值。但是加窗后對此采樣序列的頻域也產生了影響:此時的頻域便不在是一個理想的矩形窗,而是成了一個有過渡帶,阻帶有波動的低通濾波器。通常根據所加的窗函數的不同,對采樣信號加窗后,在頻域所得的低通濾波器的阻帶衰減也不同。通常我們就是根據此阻帶衰減去選擇一個合適的窗函數。如矩形窗、漢寧窗、漢明窗、BLACKMAN窗、凱撒窗等。選擇一個具體的窗函數 之后,根據所設計濾波器的參數來計算所需的階數、此窗函數的表達式。然后用這個窗函數去和采樣序列相乘,就可以得到實際濾波器的脈沖響應。
IIR的設計(雙線性變換法):
IIR的設計理念是這樣的:根據所要設計濾波器的參數去確定一個模擬濾波器的傳輸函數,然后再根據這個傳輸函數,通過雙線性變換、或脈沖響應不變法來進行數字濾波器的設計。它的設計比較復雜,復雜在于它的模擬濾波器傳輸函數H(s)的確定。這一點我們可以讓軟件來實現。然后,我們說一下它的具體實現步驟:首先你要先確定你需要一個什么樣的濾波器,巴特沃斯型,切比雪夫型,還是其它什么型的濾波器。當你選定一個型號后,你就可以根據設計參數和這個濾波器的計算公式來確定其階數、傳輸函數的表達式。通常這個過程中還存在預扭曲的問題(這只是雙線性變換法所需要注意的問題,脈沖響應不變法不存在這種問題)。確定H(S)后,就可以通過雙線性變換得到其數字域的差分方程。
3.對于IIR和FIR的比較,有些書上有論述。我引用陳懷琛的“數字信號處理教程--MATLAB釋義與實現”:
從性能上來說,IIR濾波器傳遞函數包括零點和極點兩組可調因素,對極點的惟一限制是在單位圓內。因此可用較低的階數獲得高的選擇性,所用的存儲單元少,計算量小,效率高。但是這個高效率是以相位的非線性為代價的。選擇性越好,則相位非線性越嚴重。FIR濾波器傳遞函數的極點固定在原點,是不能動的,它只能靠改變零點位置來改變它的性能。所以要達到高的選擇性,必須用較高的階數;對于同樣的濾波器設計指標,FIR濾波器所要求的階數可能比IIR濾波器高5-10倍,結果,成本較高,信號延時也較大;如果按線性相位要求來說,則IIR濾波器就必須加全通網絡進行相位校正,同樣要大大增加濾波器的階數和復雜性。而FIR濾波器卻可以得到嚴格的線性相位。
從結構上看,IIR濾波器必須采用遞歸結構來配置極點,并保證極點位置在單位圓內。由于有限字長效應,運算過程中將對系數進行舍入處理,引起極點的偏移。這種情況有時會造成穩定性問題,甚至產生寄生振蕩。相反,FIR濾波器只要采用非遞歸結構,不論在理論上還是在實際的有限精度運算中都不存在穩定性問題,因此造成的頻率特性誤差也較小。此外FIR濾波器可以采用快速傅里葉變換算法,在相同階數的條件下,運算速度可以快得多。
另外,也應看到,IIR濾波器雖然設計簡單,但主要是用于設計具有分段常數特性的濾波器,如低通、高通、帶通及帶阻等,往往脫離不了模擬濾波器的格局。而FIR濾波器則要靈活得多,尤其是他易于適應某些特殊應用,如構成數字微分器或希爾波特變換器等,因而有更大的適應性和廣闊的應用領域。
從上面的簡單比較可以看到IIR與FIR濾波器各有所長,所以在實際應用時應該從多方面考慮來加以選擇。從使用要求上來看,在對相位要求不敏感的場合,如語言通信等,選用IIR較為合適,這樣可以充分發揮其經濟高效的特點;對于圖像信號處理,數據傳輸等以波形攜帶信息的系統,則對線性相位要求較高。如果有條件,采用FIR濾波器較好。當然,在實際應用中可能還要考慮更多方面的因素。
不論IIR和FIR,階數越高,信號延遲越大;同時在IIR濾波器中,階數越高,系數的精度要求越高,否則很容易造成有限字長的誤差使極點移到單位園外。因此在階數選擇上是綜合考慮的。
IIR濾波器(切比雪夫濾波)各濾波器比較(IIR和FIR,數字和模擬) 第19,20,21章內容,主要講IIR濾波器和濾波器的比較
IIR濾波不使用卷積運算,而是用遞歸(recursive)運算,因此執行速度很快,但在性能上不一定比FIR濾波好。IIR的沖擊響應由衰減性指數信號構成。
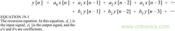
IIR輸入輸出的遞推關系式為:

IIR遞歸系數和其頻率響應之間的關系可以通過Z變換來轉換,Z變換在此不涉及。
通過取不同的遞歸系數(下圖中的a和b),就可以實現不同的濾波:


當然這是最簡單的應用,遞歸系數的取法有一定的講究和公式,這里略了。
推薦閱讀:




